Última actualização :
27/04/2026
Antiviral   Ganciclovir  
solução oftálmica
Estabilidade de preparações farmacêuticas Estabilidade em misturas Factores que afectam a sua estabilidade Compatibilidade Bibliografía pdf
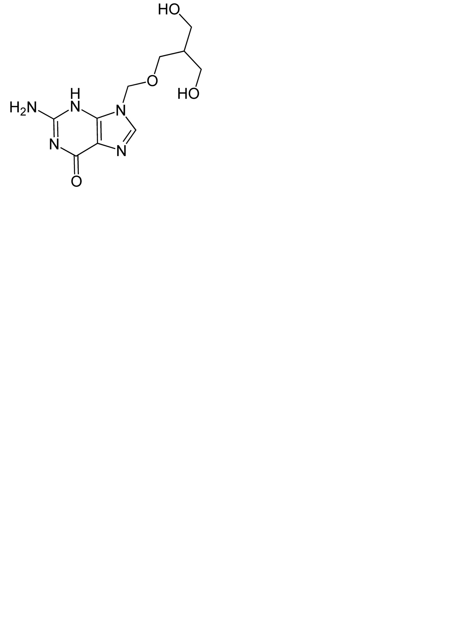
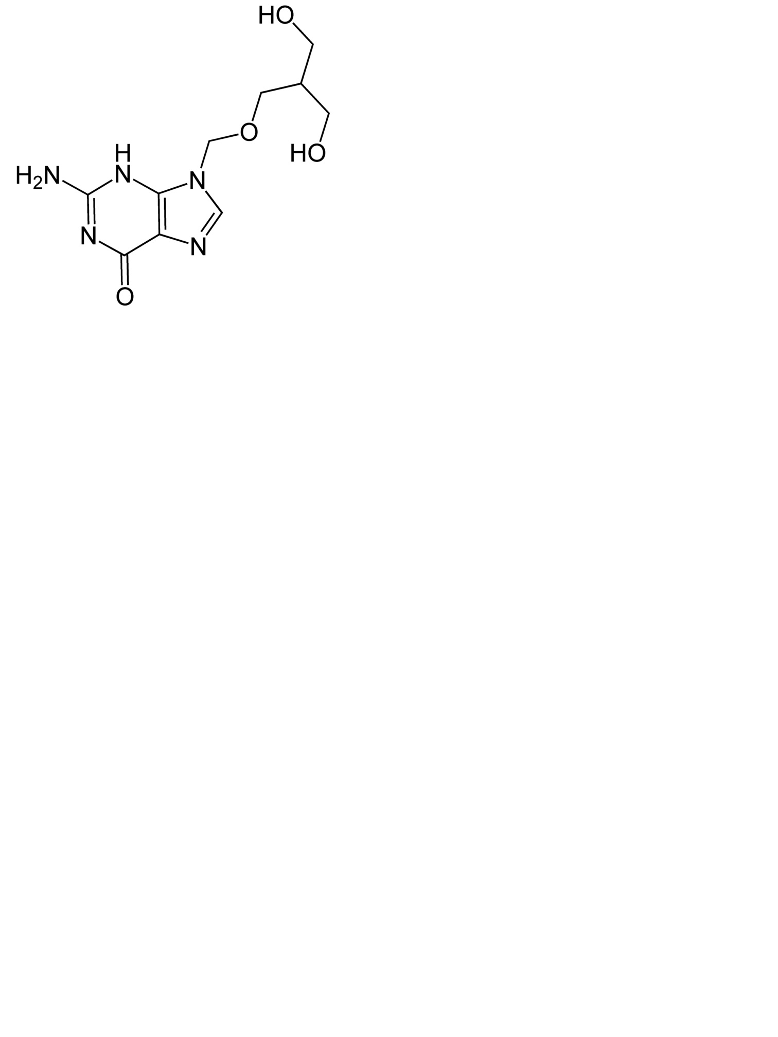
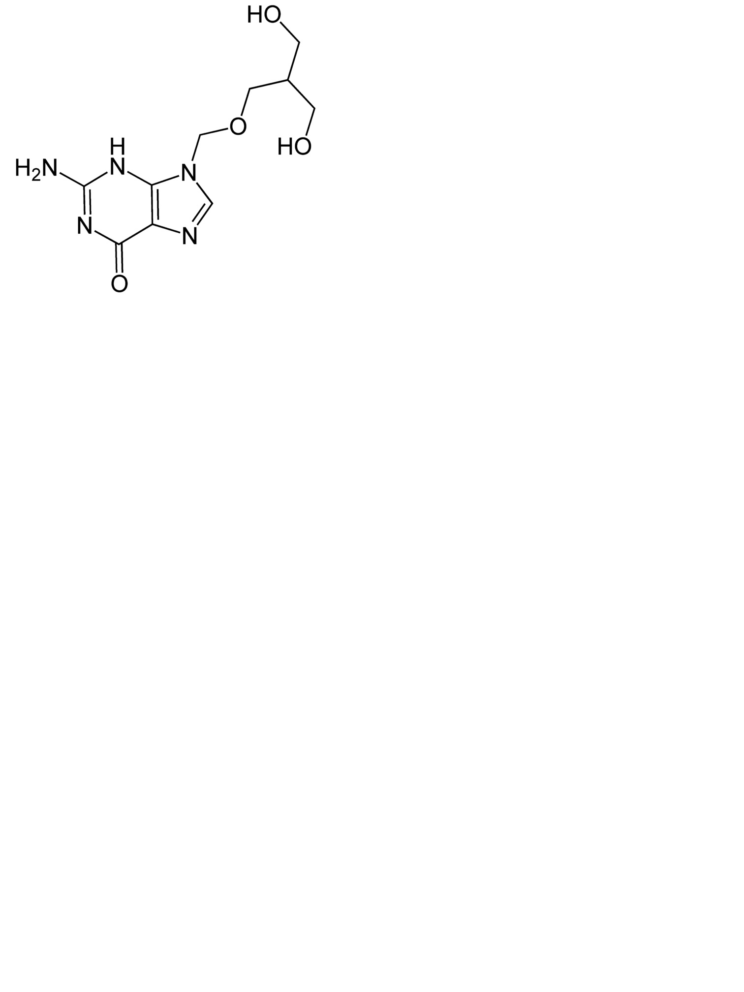
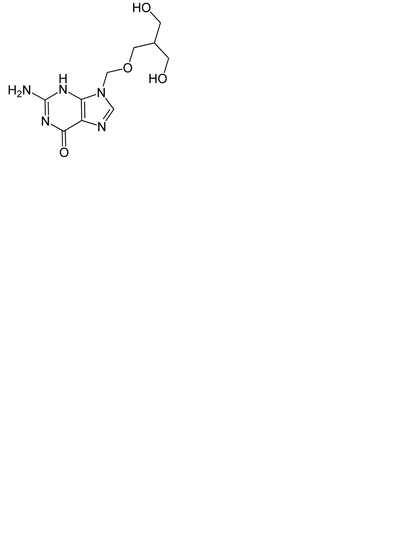
   estrutura química  

solução oftálmica
Estabilidade de preparações farmacêuticas   solução oftálmica   Estabilidade de preparações farmacêuticas : Ganciclovir     
Embalagem Origine excipiente temperatura conservação Duração da estabilidade Bibliografia
frasco de plástico Medicamento comercial 100 mg
® = La Roche
água para injeção >> 5 mL
2-8°C ao abrigo da luz
84 dia
4729
frasco de plástico Medicamento comercial 100 mg
® = La Roche
água para injeção >> 5 mL
28-32°C ao abrigo da luz
56 dia
4729

  Mentions Légales