Pēdējā atjaunošana :
31/03/2026
Pretvīrusu līdzeklis   Ganciclovir  
Acu pilieni
Stabilitāte farmaceitisko preparātu Maisījuma stabilitāte Stabilitāti ietekmējoši faktori Saderība Literatūras saraksts pdf
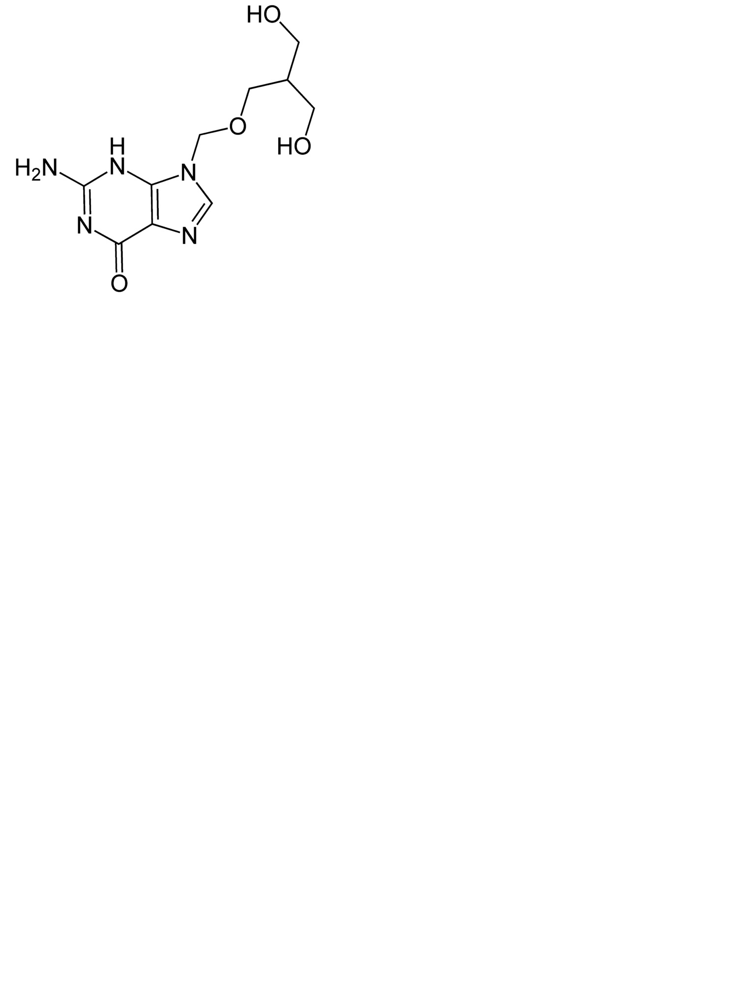
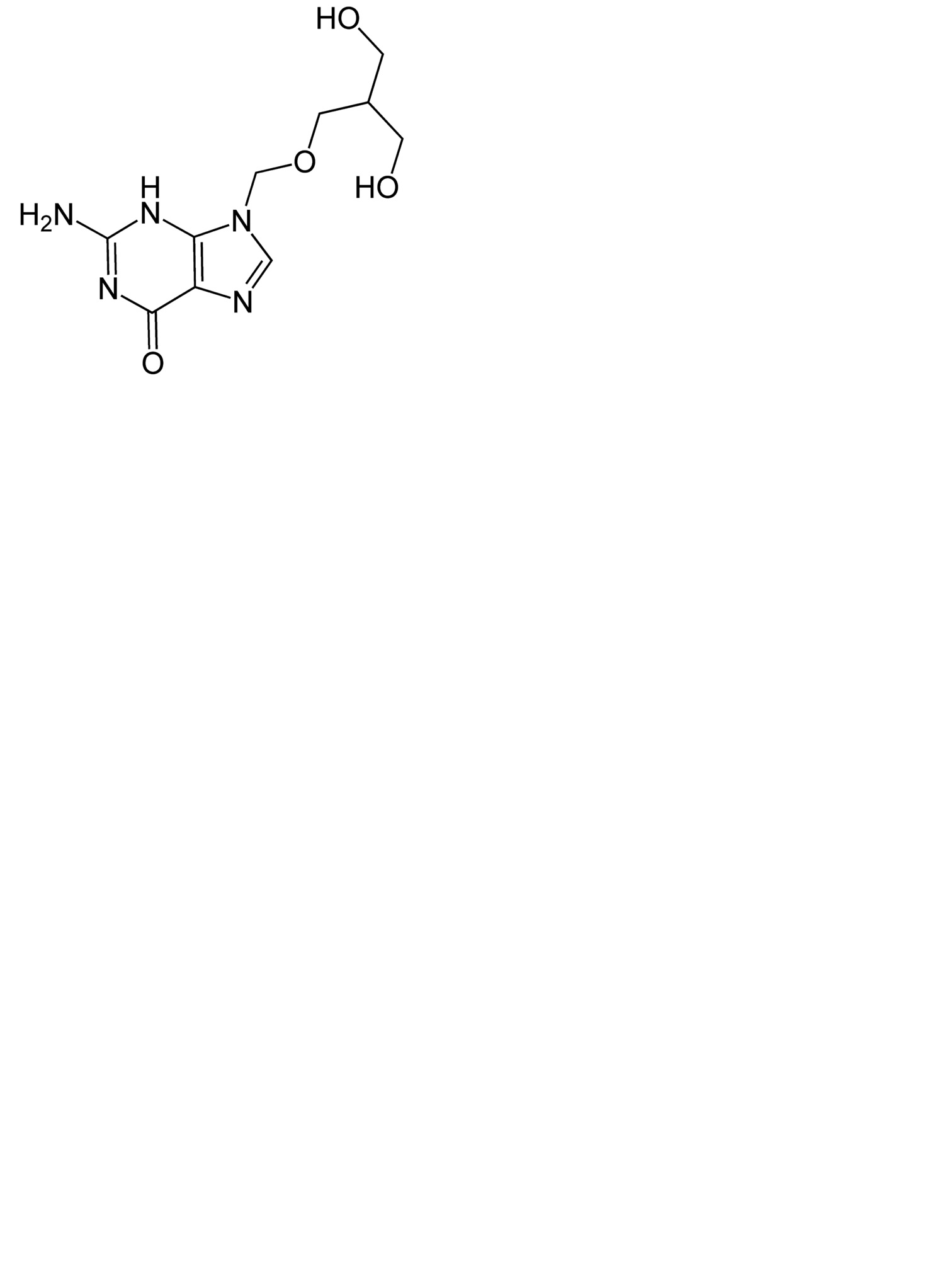
   Ķīmiskā uzbūve   

Acu pilieni
Stabilitāte farmaceitisko preparātu   Acu pilieni   Stabilitāte farmaceitisko preparātu : Ganciclovir     
Iepakojums Origine Palīgviela Temperatūra Glabāšana Stabilitātes ilgums Literatūras saraksts
Plastmasas pudele Komerciāls narkotiku produkts 100 mg
® = La Roche
Injekciju ūdens >> 5 mL
2-8°C Aizsargāt no gaismas
84 Diena
4729
Plastmasas pudele Komerciāls narkotiku produkts 100 mg
® = La Roche
Injekciju ūdens >> 5 mL
28-32°C Aizsargāt no gaismas
56 Diena
4729

  Mentions Légales