Senaste uppdateringen :
27/01/2026
Antiviralt medel   Ganciclovir  
ögondroppar
Stabilitet av läkemedel Stabilitet i blandningar Faktorer som påverkar stabiliteten Kompatibilitet Hänvisningar pdf
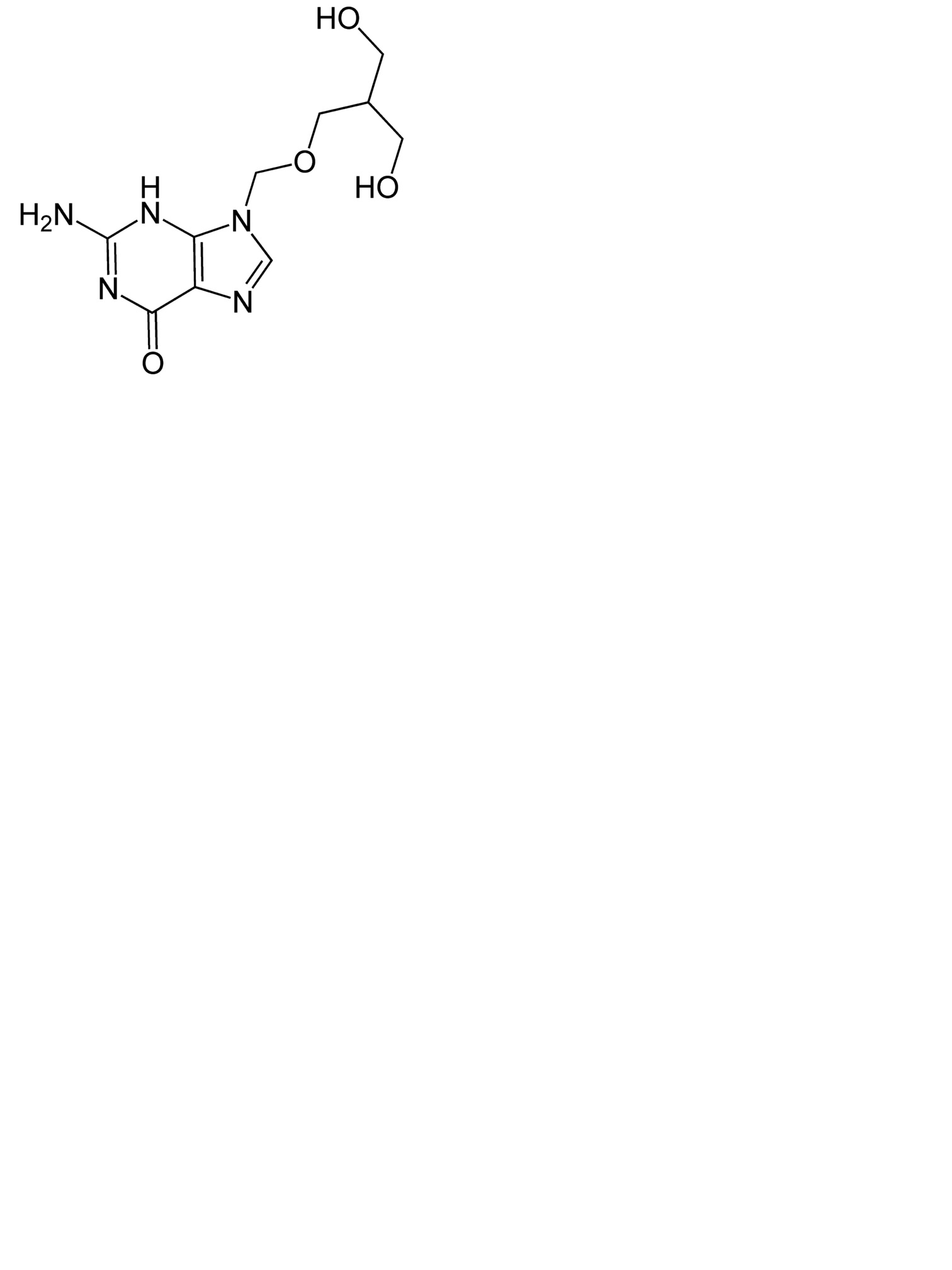
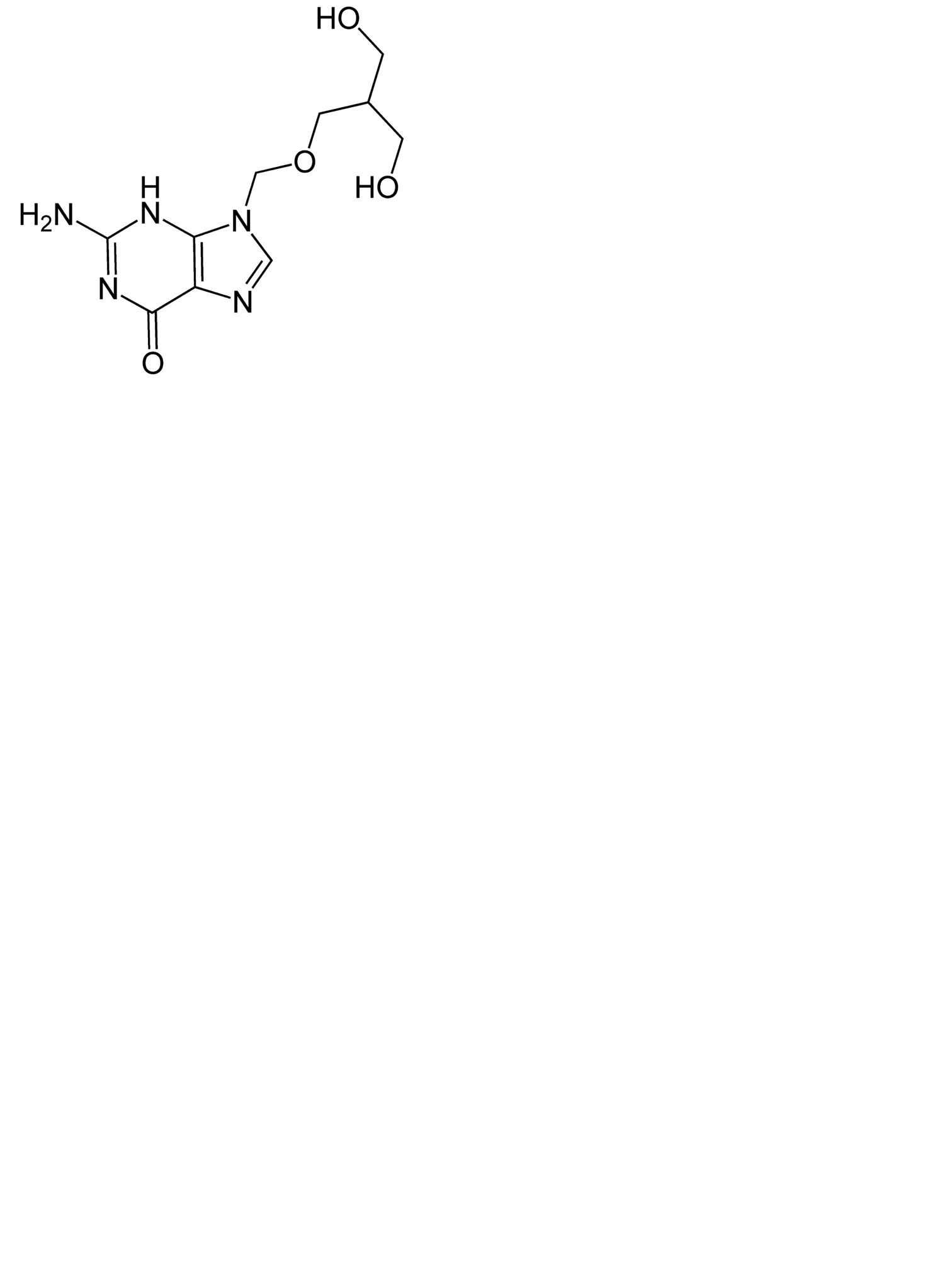
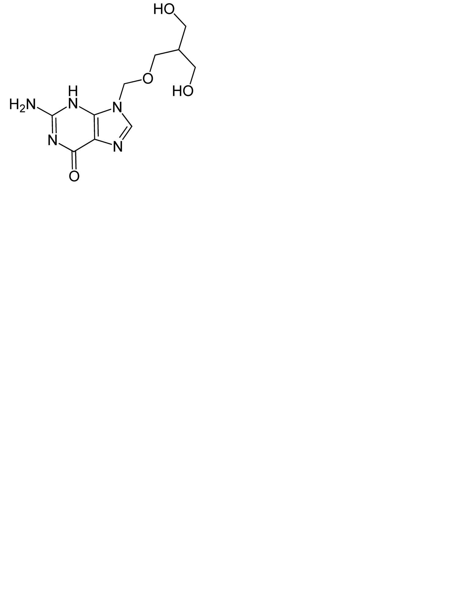
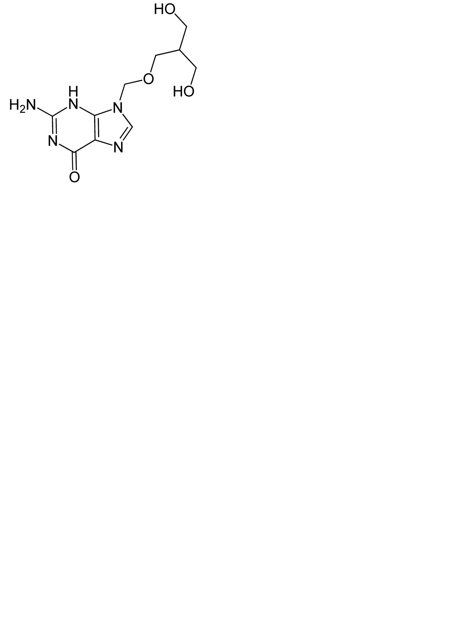
   Molekylstruktur  

ögondroppar
Stabilitet av läkemedel   ögondroppar   Stabilitet av läkemedel : Ganciclovir     
Behållare Origine Hjälpämne Temperatur Förvaring Stabilitets varaktighet Hänvisningar
Plastflaska Kommersiell läkemedelsprodukt 100 mg
® = La Roche
Vatten för injektion >> 5 mL
2-8°C Skyddas från ljus
84 Dag
4729
Plastflaska Kommersiell läkemedelsprodukt 100 mg
® = La Roche
Vatten för injektion >> 5 mL
28-32°C Skyddas från ljus
56 Dag
4729

  Mentions Légales