Ultimele actualizari :
27/01/2026
Antiviral   Ganciclovir  
colir
Stabilitatea preparatelor farmaceutice Stabilitatea in amestec Factorii care influenteaza stabilitatea Compatibilitate Bibliografie pdf
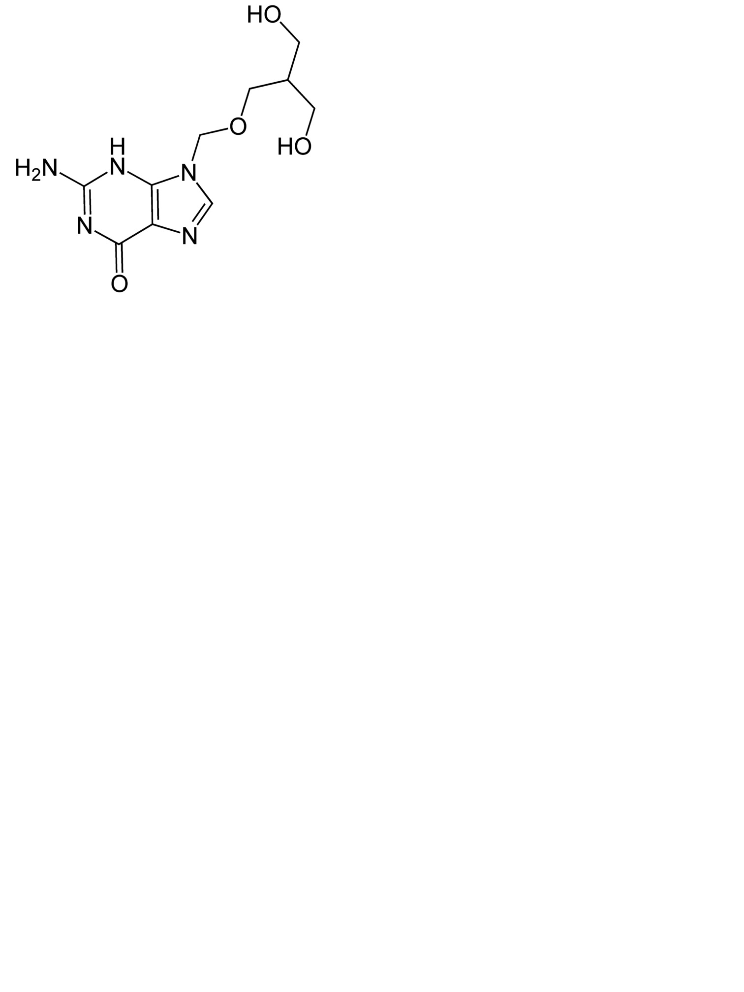
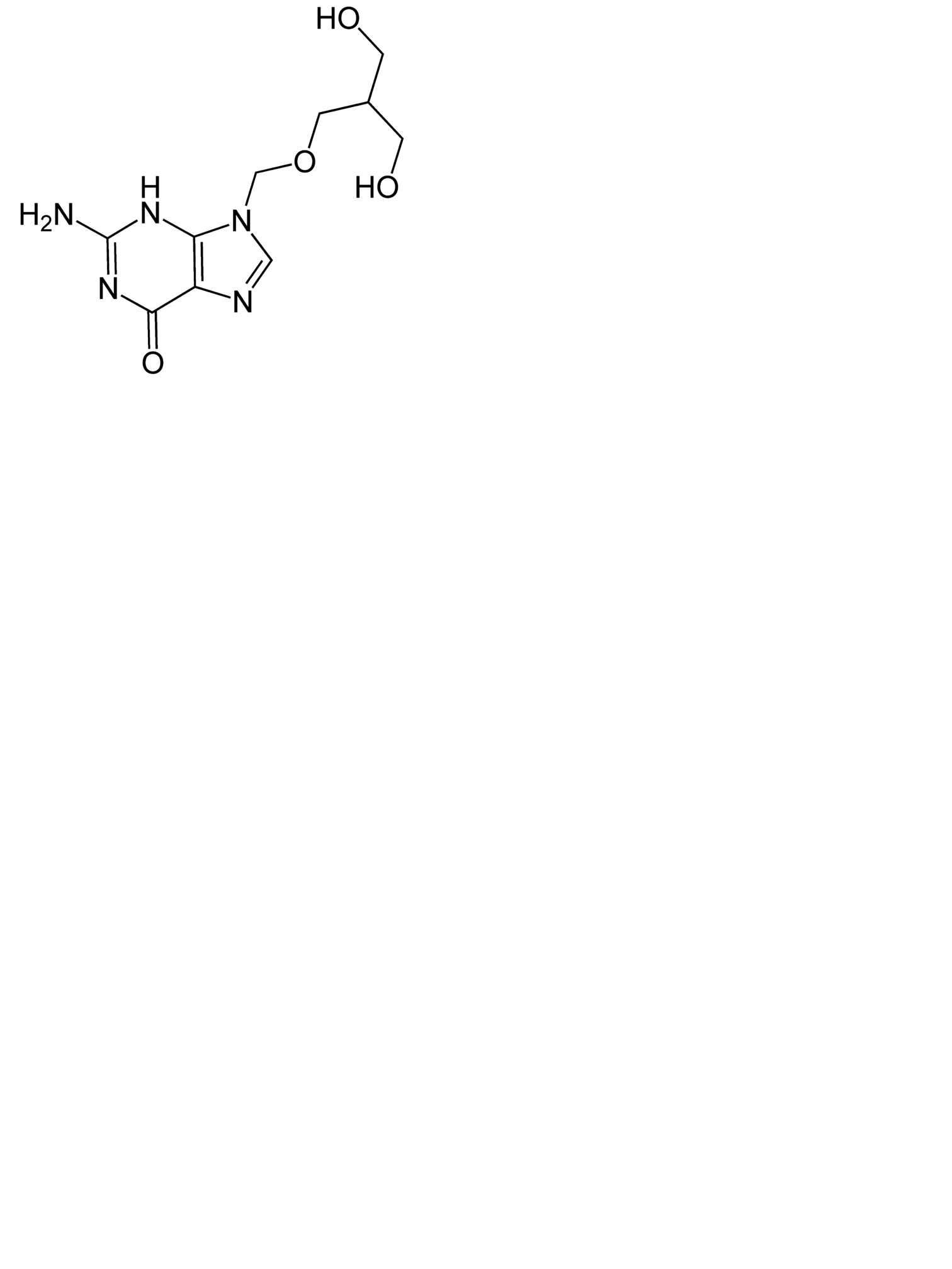
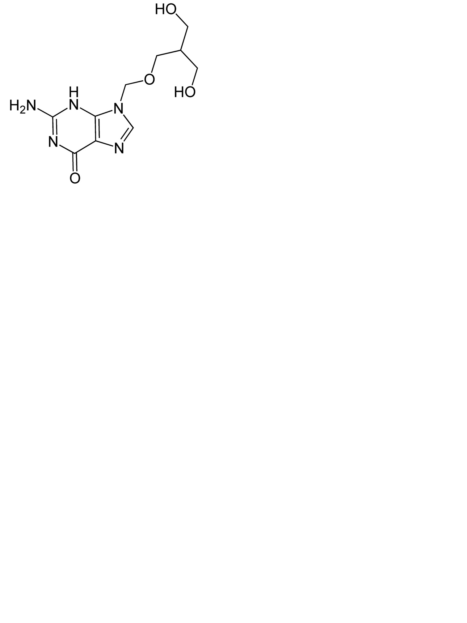
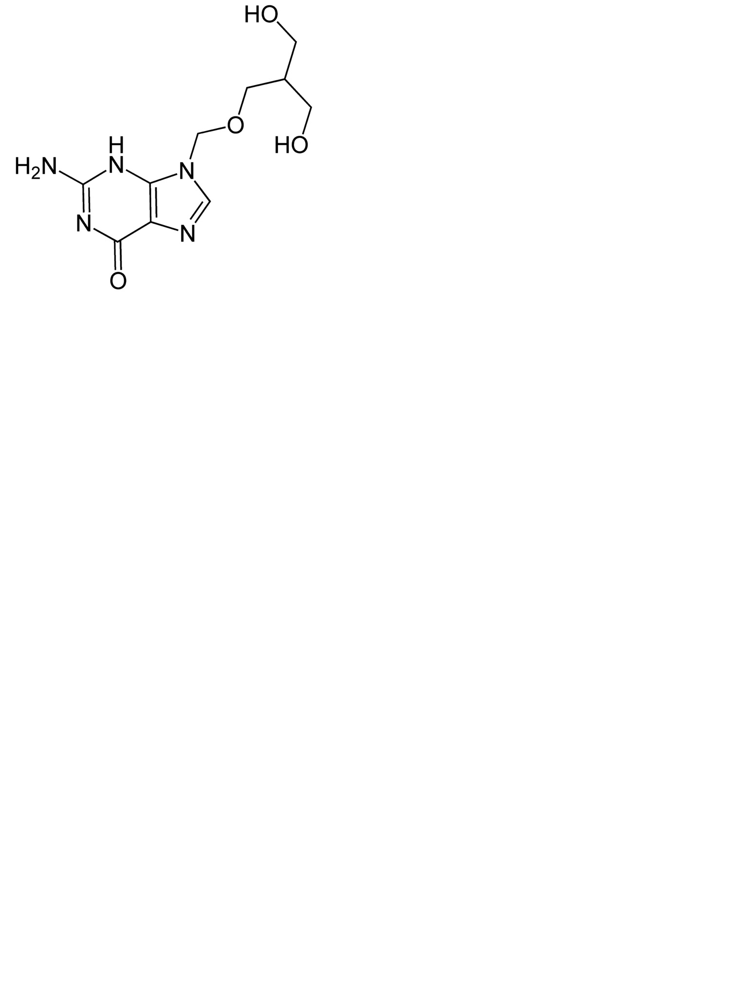
   Formula chimica  

colir
Stabilitatea preparatelor farmaceutice   colir   Stabilitatea preparatelor farmaceutice : Ganciclovir     
Continut Origine Excipient Temperatura Conservare Durata stabilității Bibiografie
Sticla din plastic Produs medicamentos comercial 100 mg
® = La Roche
Apă pentru preparate injectabile >> 5 mL
2-8°C Ferit de lumina
84 Ziua
4729
Sticla din plastic Produs medicamentos comercial 100 mg
® = La Roche
Apă pentru preparate injectabile >> 5 mL
28-32°C Ferit de lumina
56 Ziua
4729

  Mentions Légales