Seneste opdatering :
27/01/2026
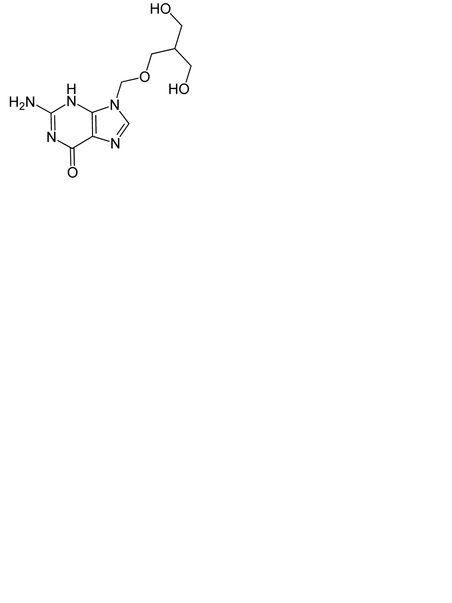
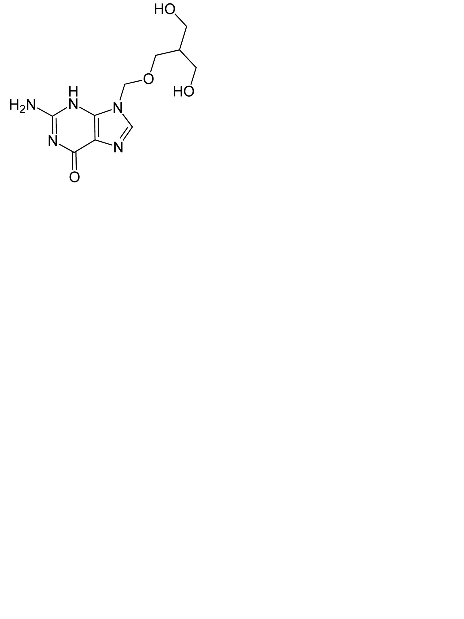
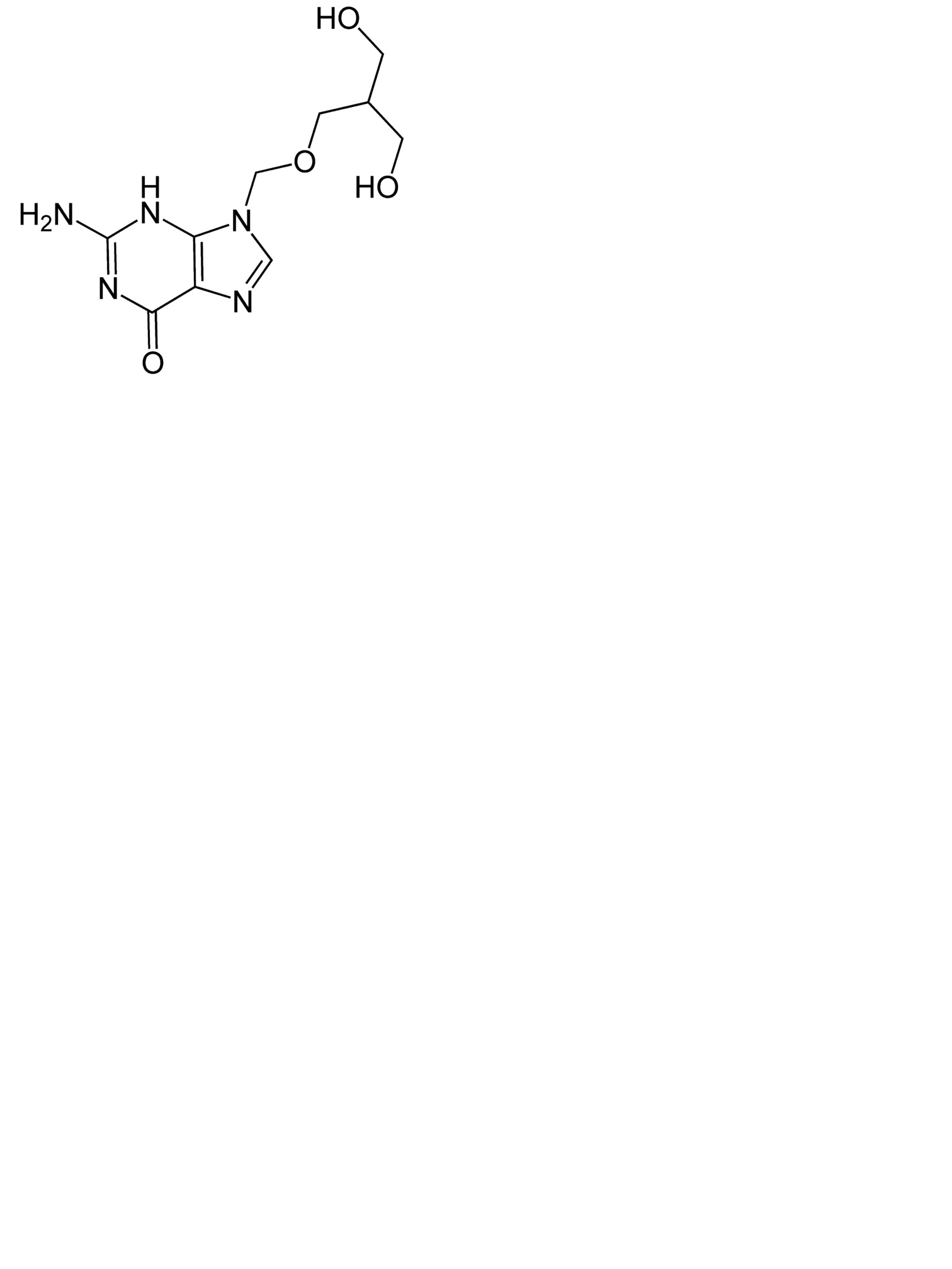
Antiviral   Ganciclovir  
Øjendråber
Stabilitet af farmaceutiske tilberedninger Stabilitet i blandinger Faktorer der påvirker stabiliteten Kompatibilitet Bibliografi pdf
   Kemisk struktur  

Øjendråber
Stabilitet af farmaceutiske tilberedninger   Øjendråber   Stabilitet af farmaceutiske tilberedninger : Ganciclovir     
Beholder Origine Hjælpestof Temperatur Konservering Varighed af stabilitet Bibliografi
Plastflaske Kommercielt lægemiddelprodukt 100 mg
® = La Roche
Vand til injektion >> 5 mL
2-8°C Beskyt mod lys
84 Dag
4729
Plastflaske Kommercielt lægemiddelprodukt 100 mg
® = La Roche
Vand til injektion >> 5 mL
28-32°C Beskyt mod lys
56 Dag
4729

  Mentions Légales