Последнее обновление :
17/12/2025
Противовирусное средство   Ganciclovir  
Глазные капли
Стабильность фармацевтических препаратов Стабильность смесей Факторы, которые влияют на стабильность Совместимость Библиография pdf
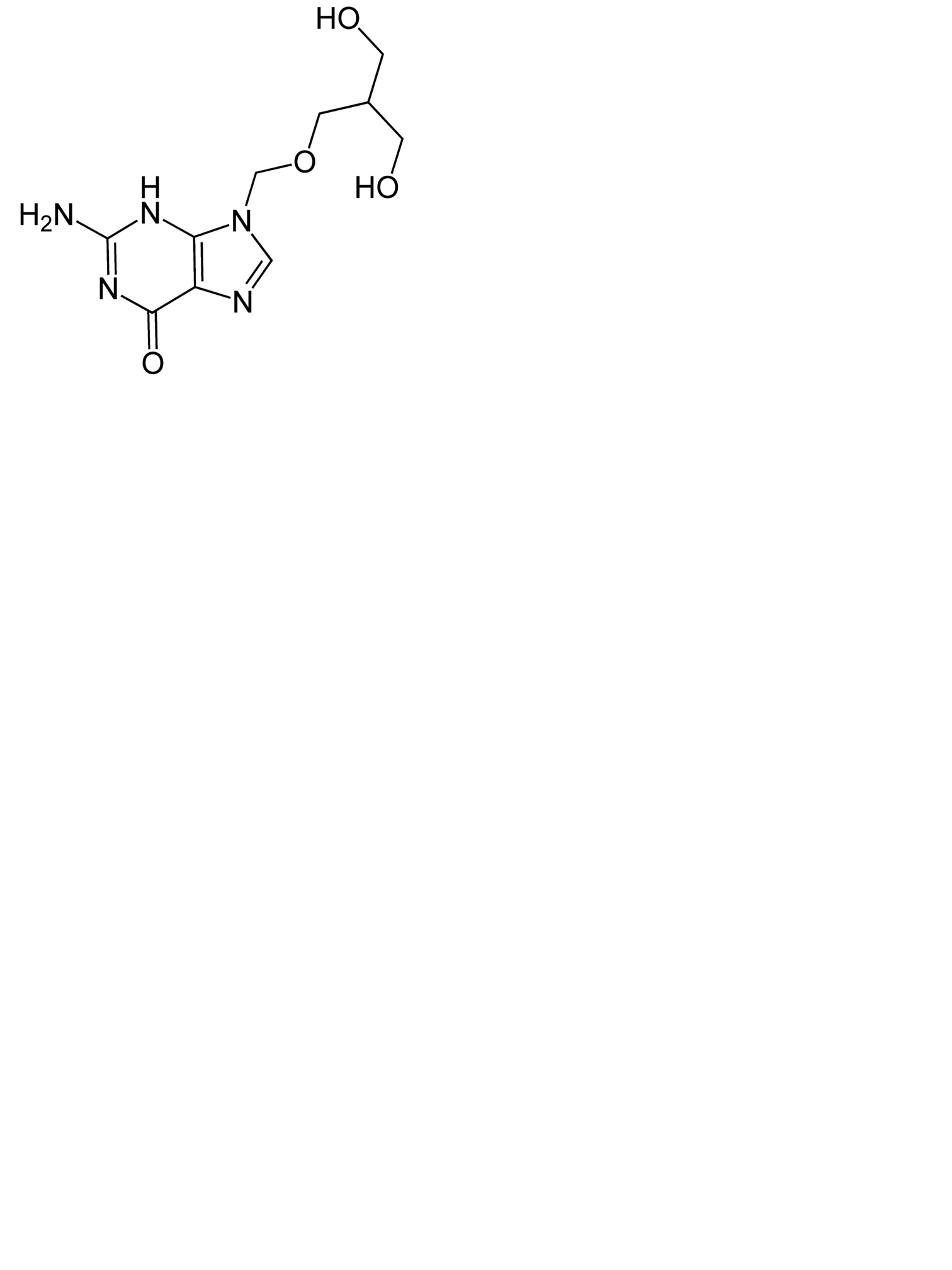
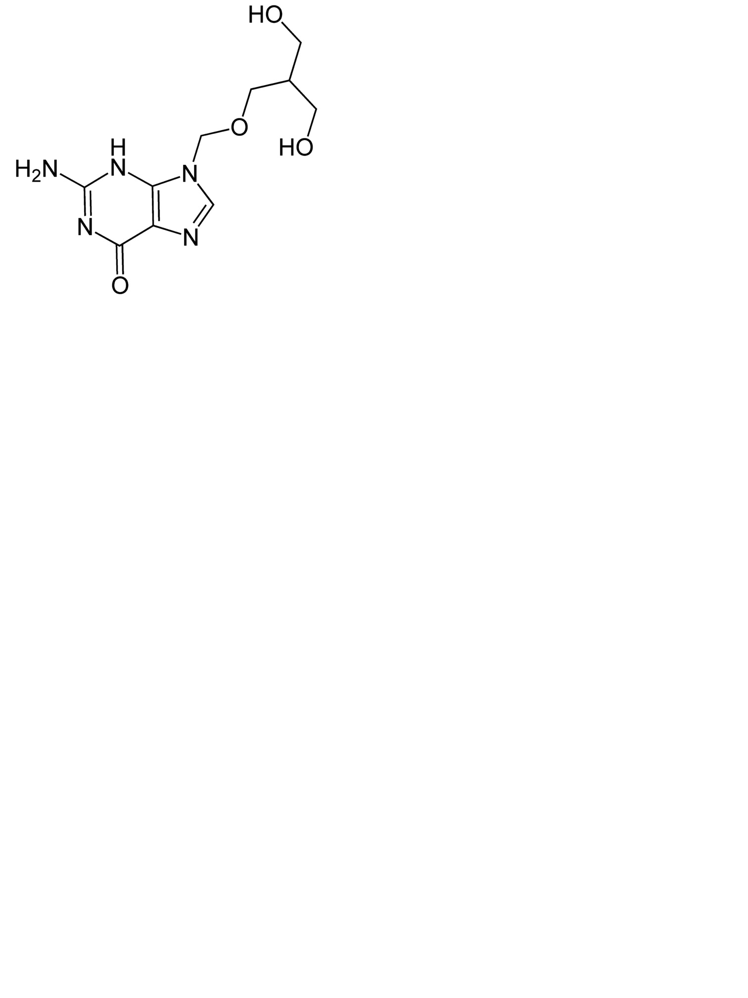
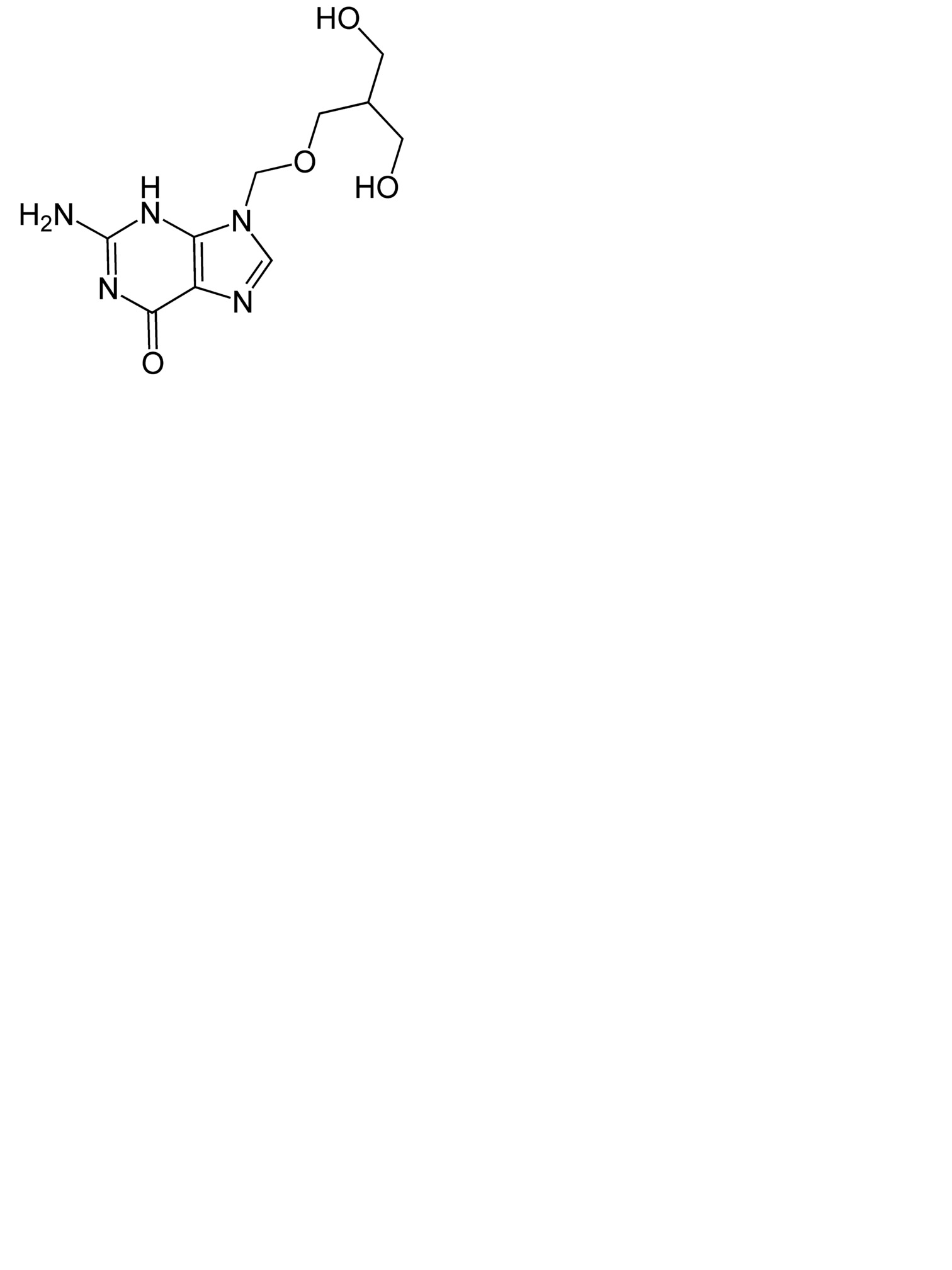
   Химическая структура  

Глазные капли
Стабильность фармацевтических препаратов   Глазные капли   Стабильность фармацевтических препаратов : Ganciclovir     
Упаковка Origine Наполнитель Температура Хранение Продолжительность стабильности Ссылки
Пластиковая бутылка Коммерческий лекарственный продукт 100 mg
® = La Roche
Вода для инъекций >> 5 mL
2-8°C Защищён от света
84 День
4729
Пластиковая бутылка Коммерческий лекарственный продукт 100 mg
® = La Roche
Вода для инъекций >> 5 mL
28-32°C Защищён от света
56 День
4729

  Mentions Légales