Ostatnia aktualizacja :
27/01/2026
Lek przeciwwirusowy   Ganciclovir  
Krople oczne
Stabilność preparatów farmaceutycznych Trwałość w mieszaninie Czynnik wpływający na trwałość Zgodność Bibliografia pdf
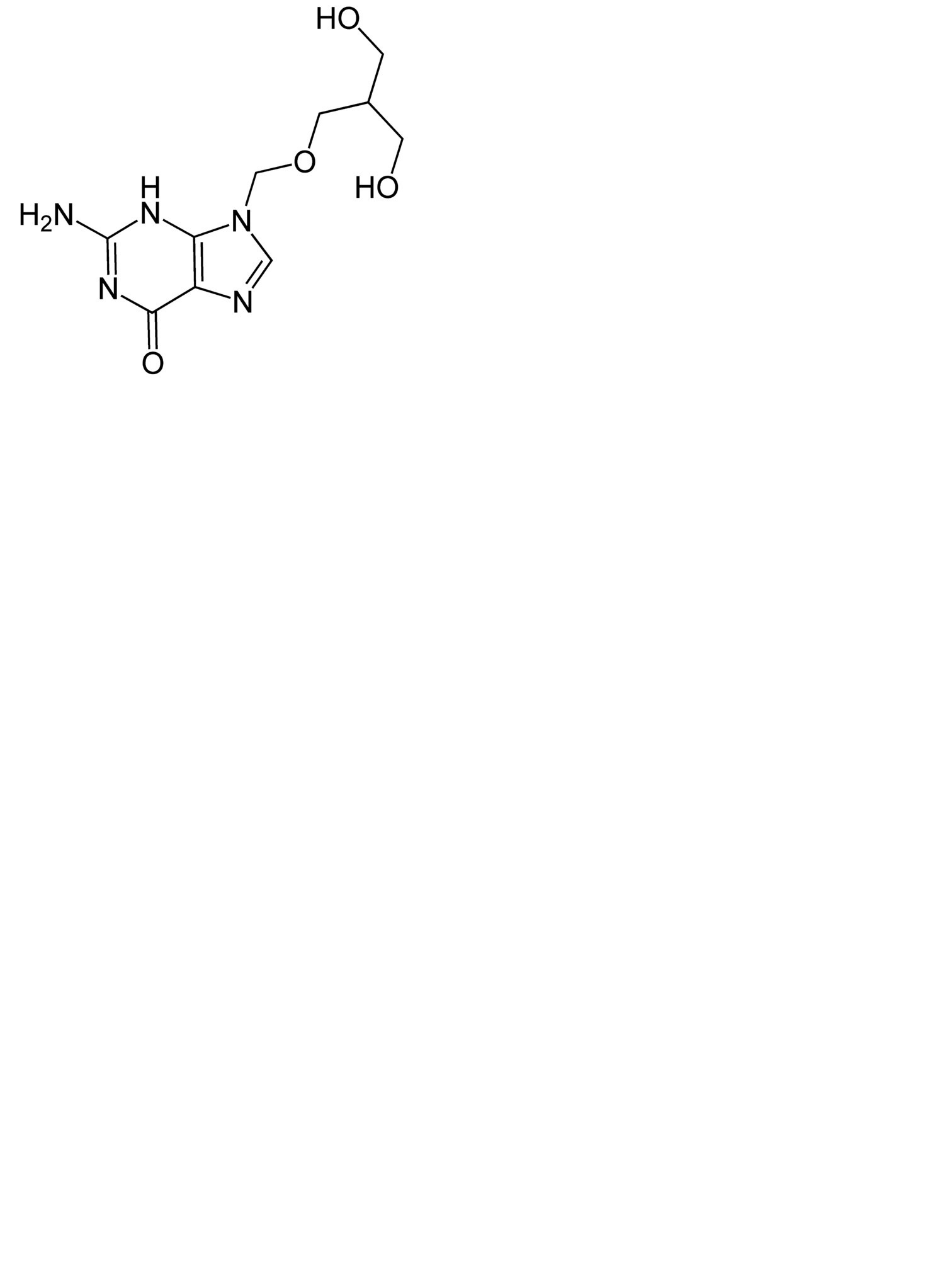
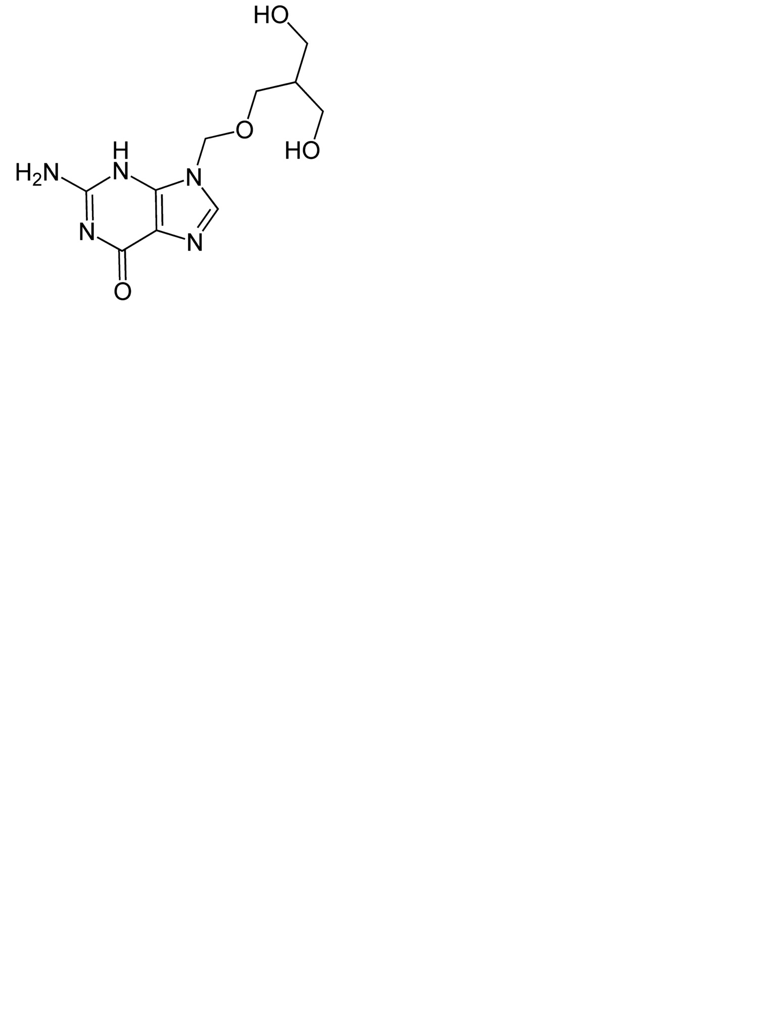
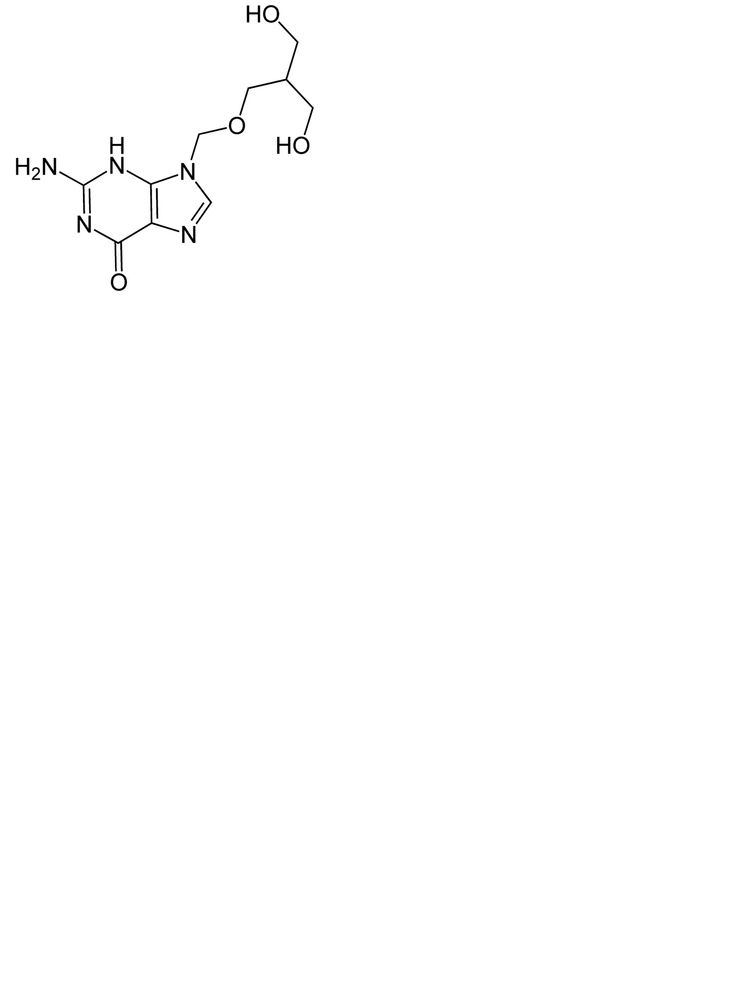
   Struktura chemiczna  

Krople oczne
Stabilność preparatów farmaceutycznych   Krople oczne   Stabilność preparatów farmaceutycznych : Ganciclovir     
Pojemnik Origine Substancja pomocniczna Temperatura Przechowywanie Czas trwania stabilności Bibliografia
Butelka plastikowa Komercyjny produkt leczniczy 100 mg
® = La Roche
Woda do iniekcji >> 5 mL
2-8°C Chronić od światła
84 Dzień
4729
Butelka plastikowa Komercyjny produkt leczniczy 100 mg
® = La Roche
Woda do iniekcji >> 5 mL
28-32°C Chronić od światła
56 Dzień
4729

  Mentions Légales