Siste oppdatering :
27/01/2026
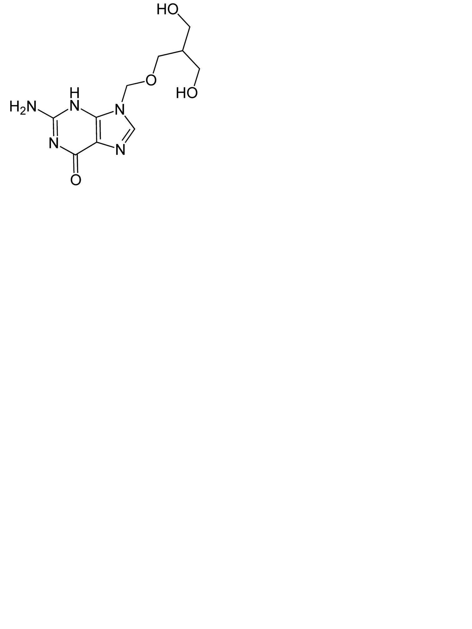
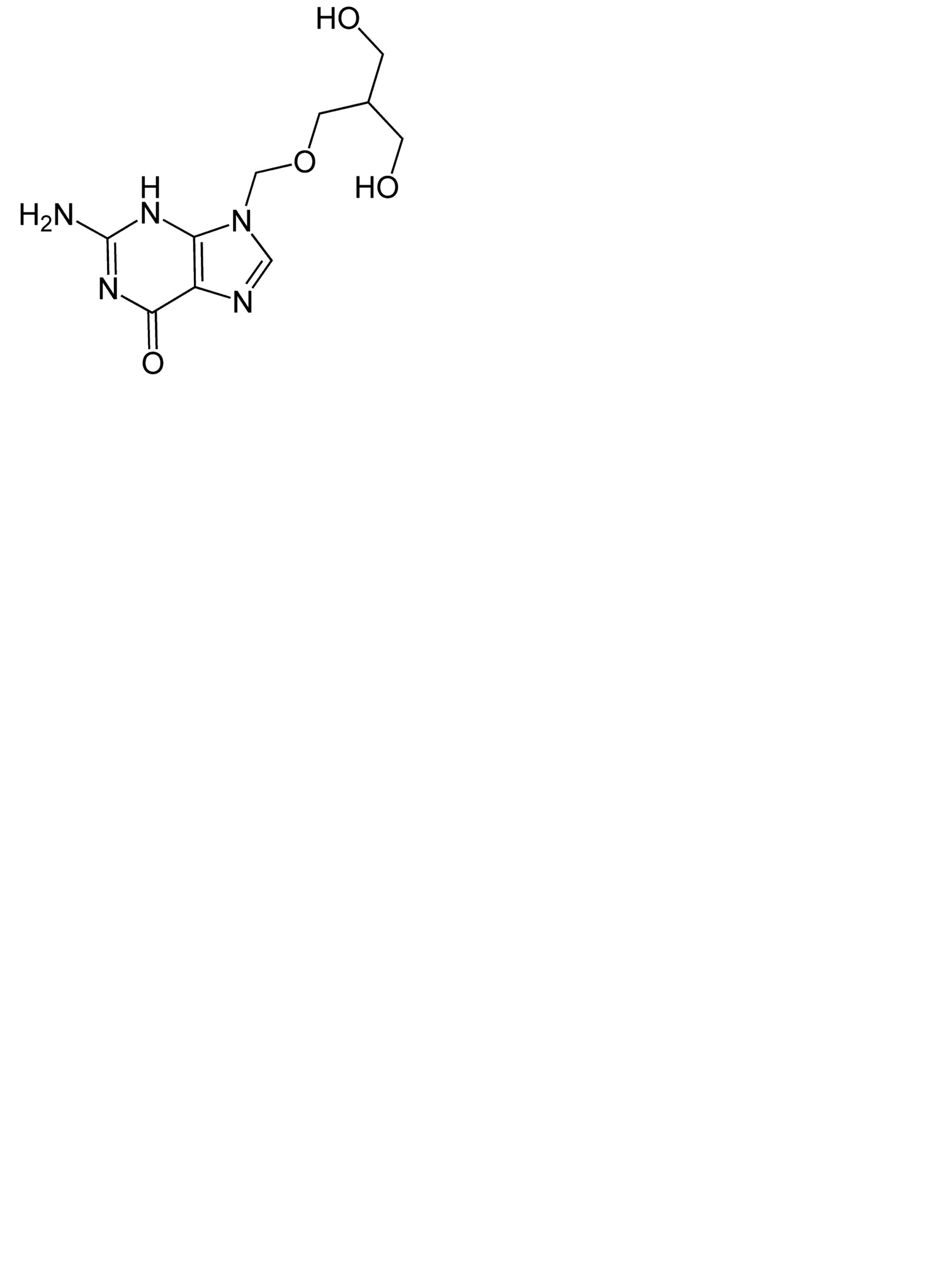
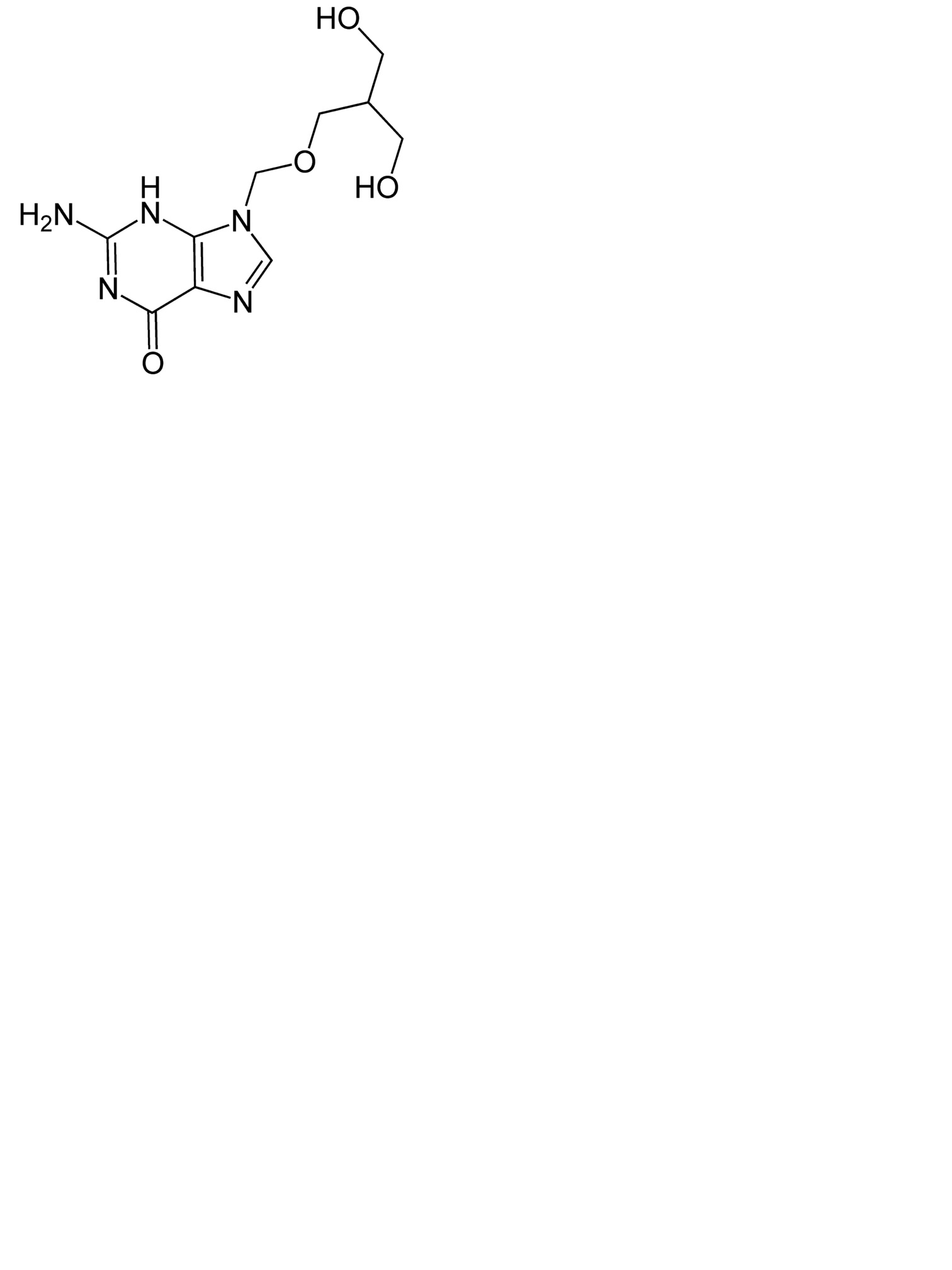
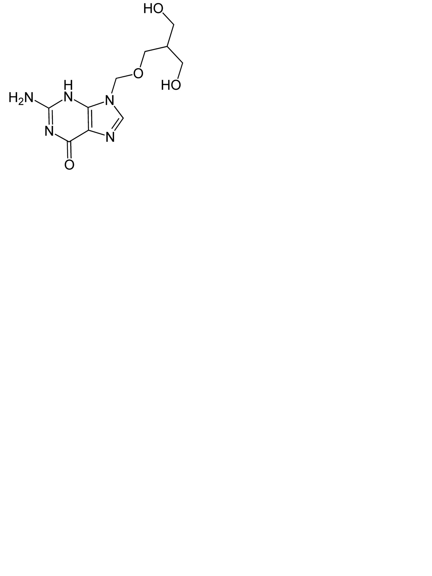
Antiviralt middel   Ganciclovir  
Øyedråper
Stabilitet av farmasøytiske preparater Stabilitet i blandinger Faktorer som påvirker stabiliteten Kompatibilitet Referanser pdf
   Kjemisk struktur  

Øyedråper
Stabilitet av farmasøytiske preparater   Øyedråper   Stabilitet av farmasøytiske preparater : Ganciclovir     
Beholder Origine Hjelpestoff Temperatur Oppbevaring Varighet av stabilitet Referanser
Plastflaske Kommersiell medisin produkt 100 mg
® = La Roche
Vann til injeksjon >> 5 mL
2-8°C Beskyttes mot lys
84 Dag
4729
Plastflaske Kommersiell medisin produkt 100 mg
® = La Roche
Vann til injeksjon >> 5 mL
28-32°C Beskyttes mot lys
56 Dag
4729

  Mentions Légales