Τελευταία ενημέρωση :
27/01/2026
Αντιιικό   Ganciclovir  
Οφθαλμικές σταγόνες
Σταθερότητα και συμβατότητα των φαρμάκων Σταθερότητα σε μίγματα Παράγοντας που επηρεάζει τη σταθερότητα Συμβατότητες Βιβλιογραφία pdf
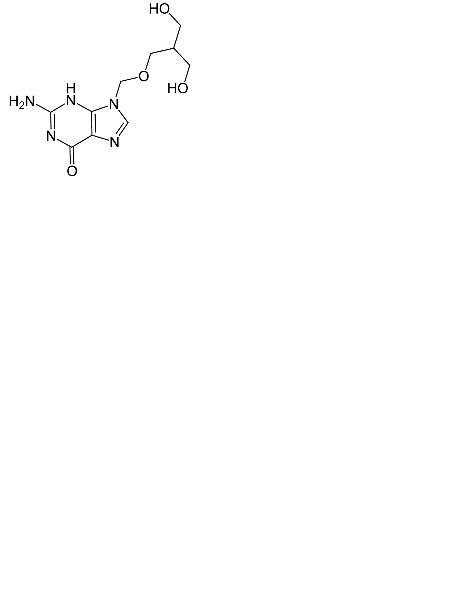
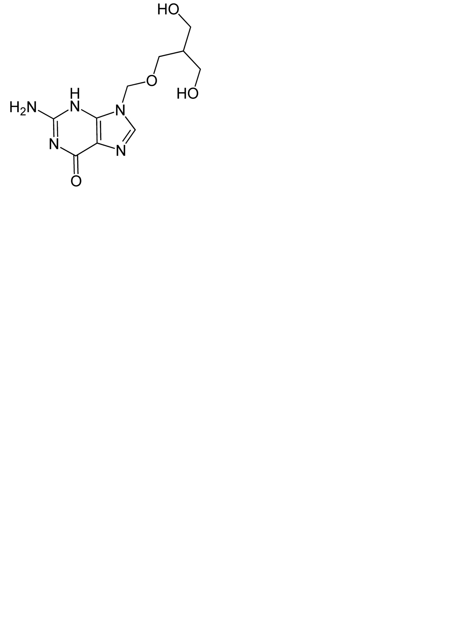
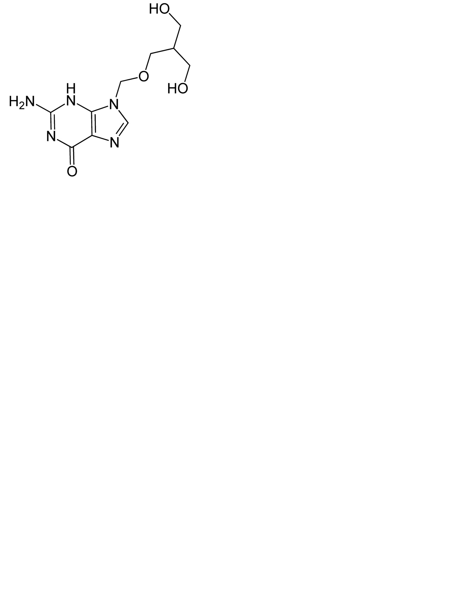
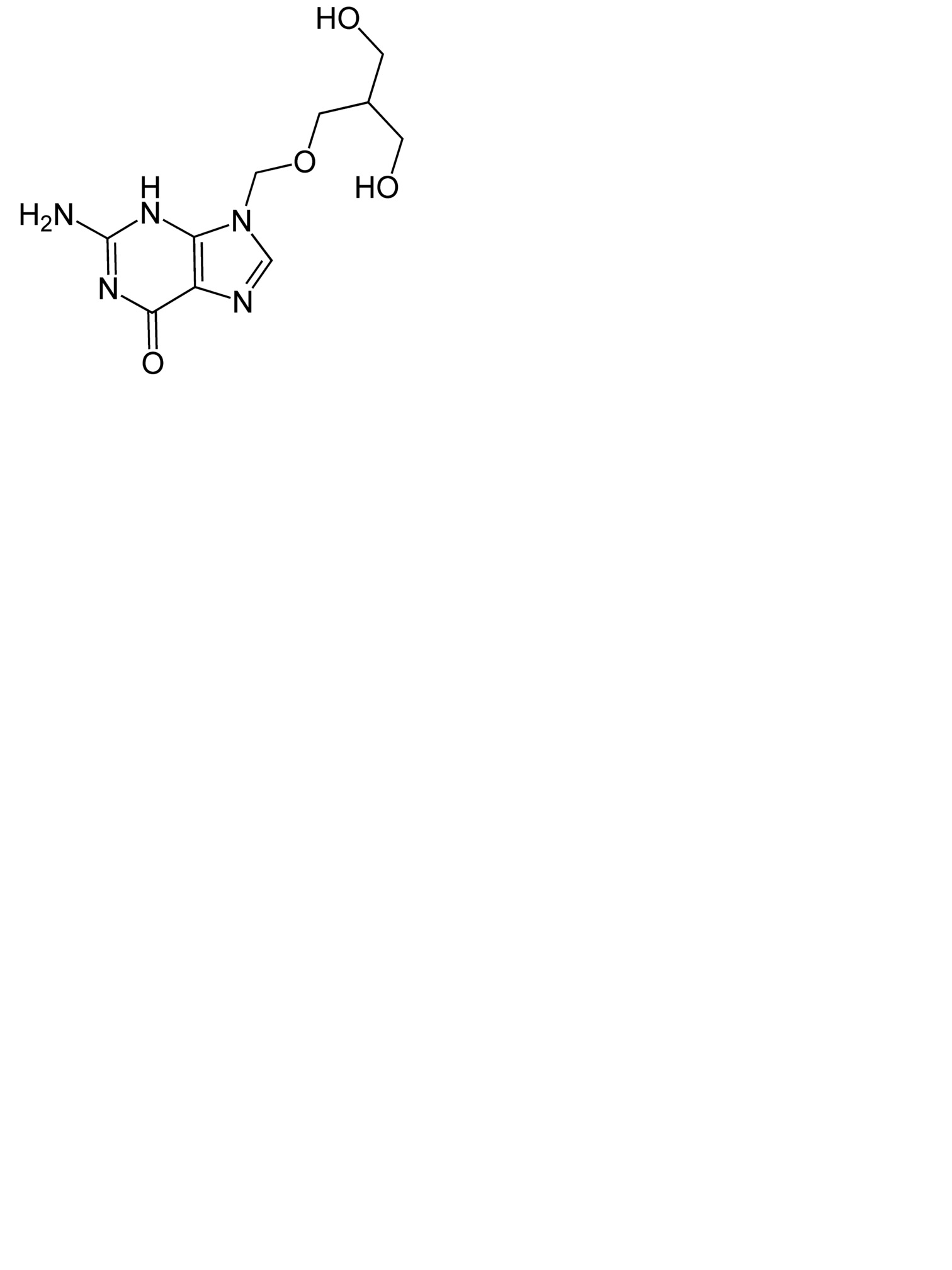
   χημική δομή  

Οφθαλμικές σταγόνες
Σταθερότητα και συμβατότητα των φαρμάκων   Οφθαλμικές σταγόνες   Σταθερότητα και συμβατότητα των φαρμάκων : Ganciclovir     
Υποδοχέας Origine Έκδοχο Θερμοκρασία Αποθήκευση Διάρκεια σταθερότητας Βιβλιογραφία
Πλαστικό μπουκάλι Εμπορικό φαρμακευτικό προϊόν 100 mg
® = La Roche
Ύδωρ για ενέσιμα >> 5 mL
2-8°C Προστατεύετε από το φως
84 Ημέρα
4729
Πλαστικό μπουκάλι Εμπορικό φαρμακευτικό προϊόν 100 mg
® = La Roche
Ύδωρ για ενέσιμα >> 5 mL
28-32°C Προστατεύετε από το φως
56 Ημέρα
4729

  Mentions Légales