Utolsó frissítés :
27/01/2026
Vírusellenes szer   Ganciclovir  
Szemcsepp
Stabilitása gyógyszerészeti készítmények A keverékek stabilitása Stabilitást befolyásoló tényezők Kompatibilitás Irodalom pdf
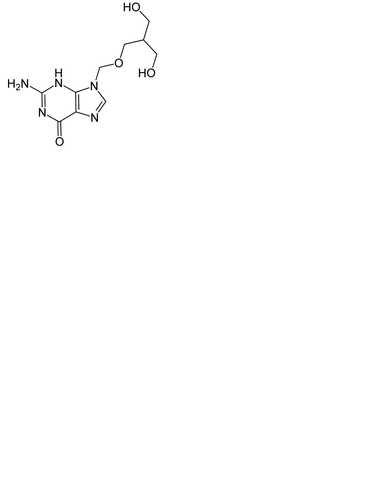
   Kémiai szerkezet   

Szemcsepp
Stabilitása gyógyszerészeti készítmények   Szemcsepp   Stabilitása gyógyszerészeti készítmények : Ganciclovir     
Csomagolás Origine segédanyag Hőmérséklet Tárolás A stabilitás időtartama Irodalom
műanyag flakon Kereskedelmi gyógyszerkészítmény 100 mg
® = La Roche
injekcióhoz való víz >> 5 mL
2-8°C Fénytől védve tartandó
84 Nap
4729
műanyag flakon Kereskedelmi gyógyszerkészítmény 100 mg
® = La Roche
injekcióhoz való víz >> 5 mL
28-32°C Fénytől védve tartandó
56 Nap
4729

  Mentions Légales