Laatste update :
27/01/2026
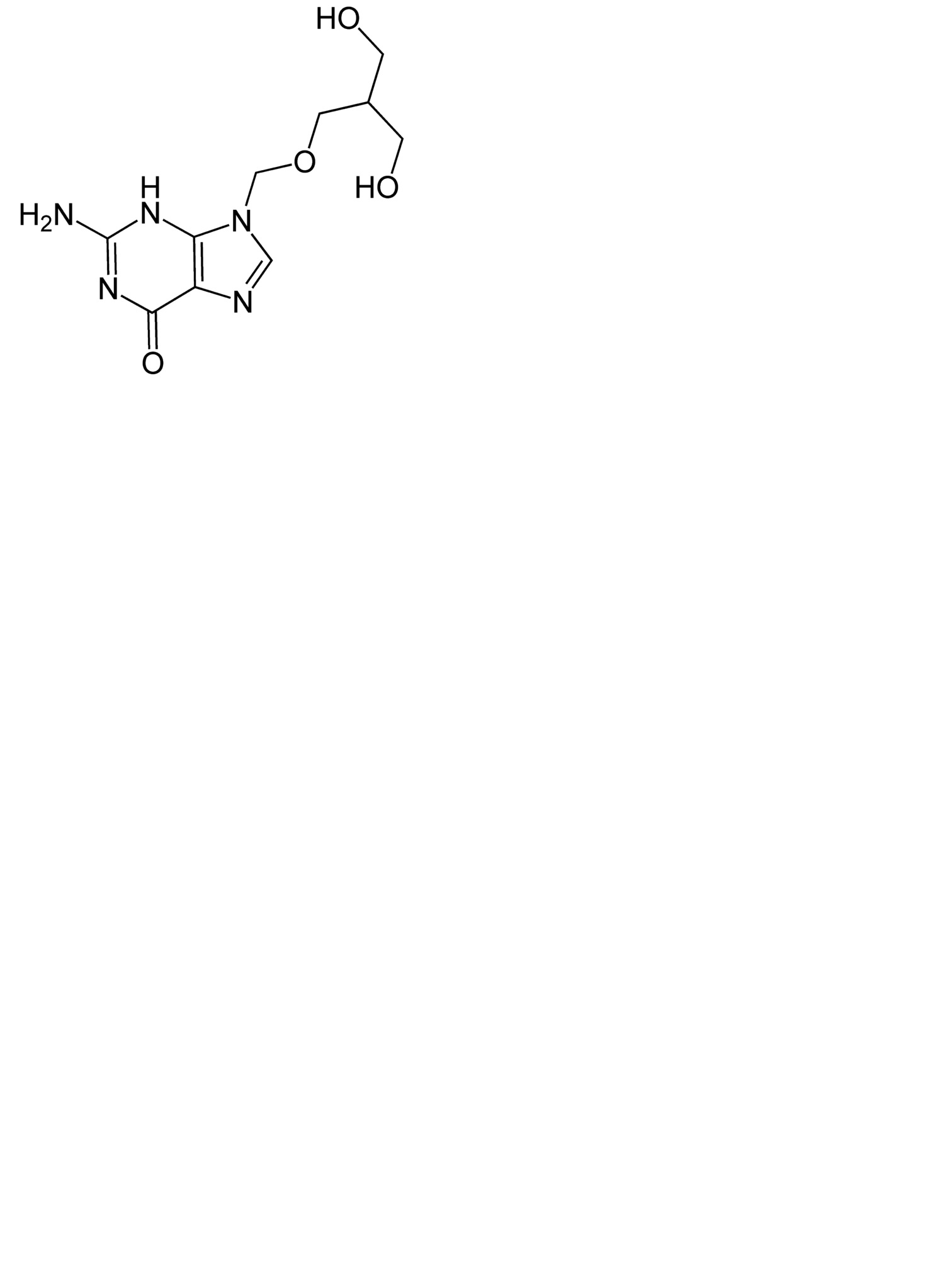
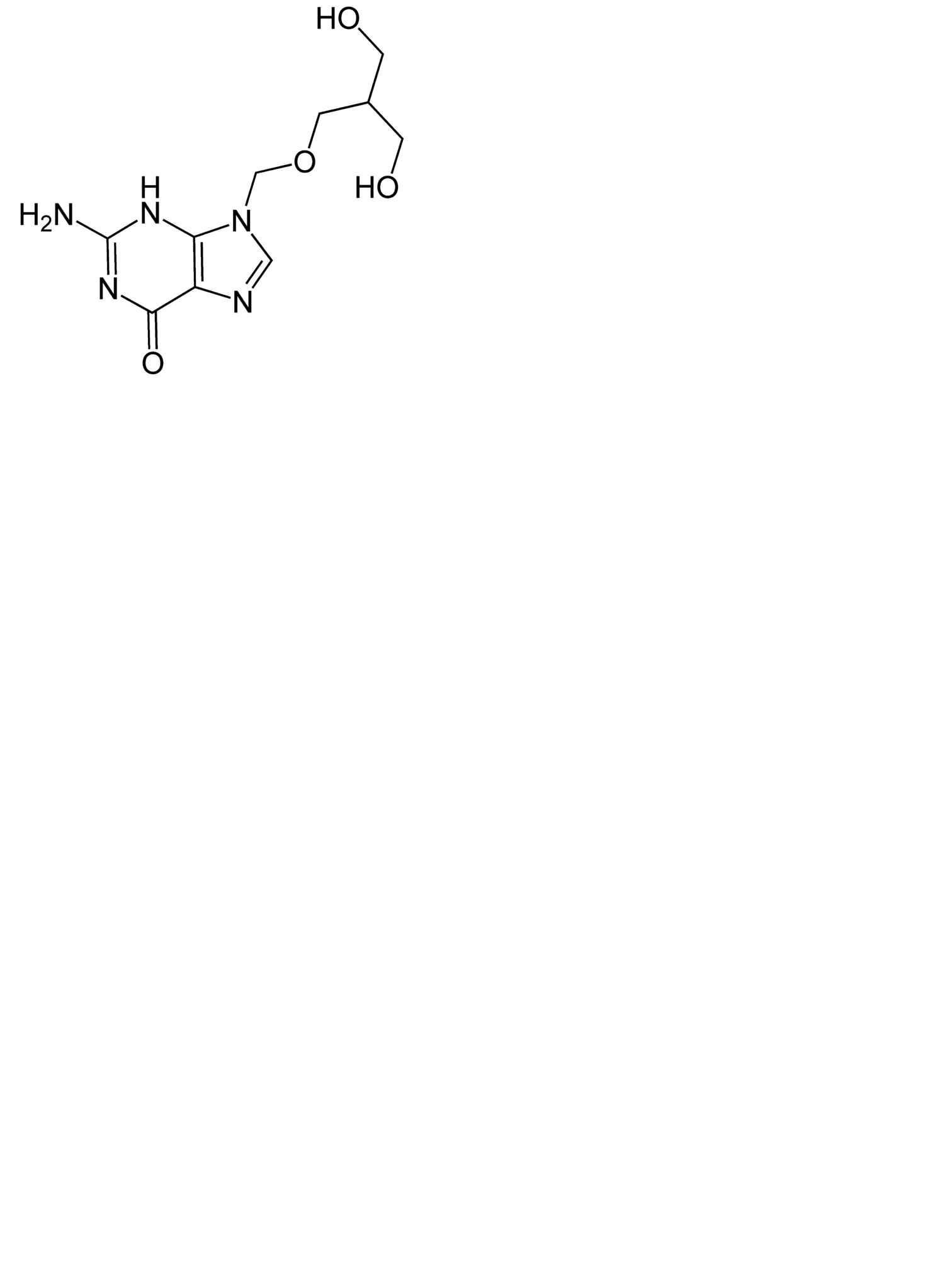
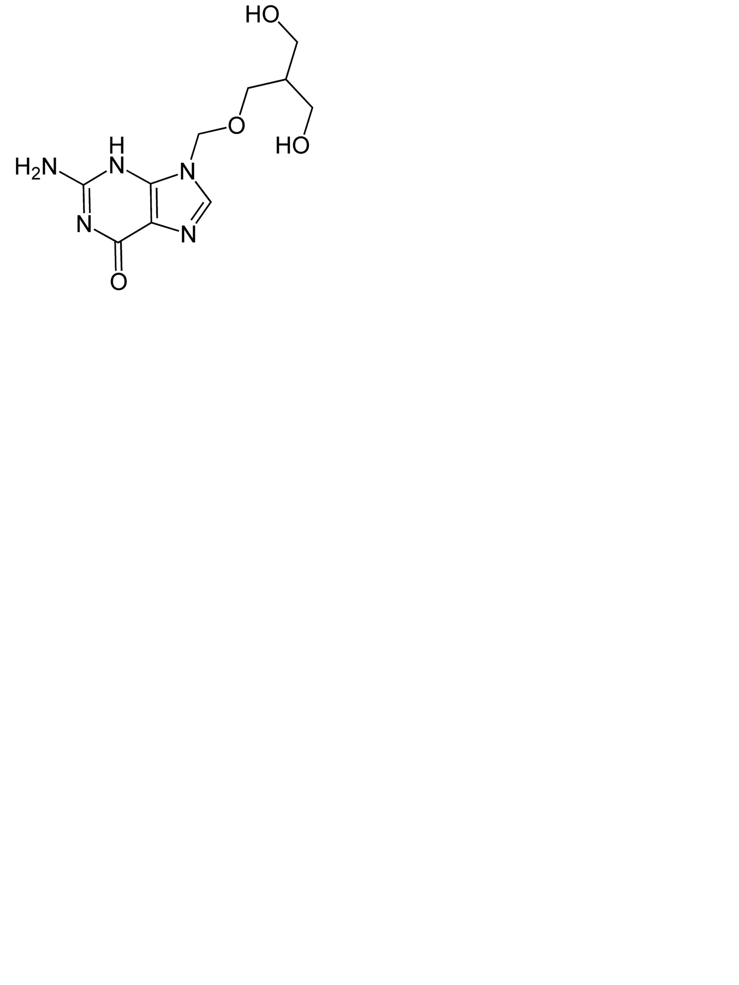
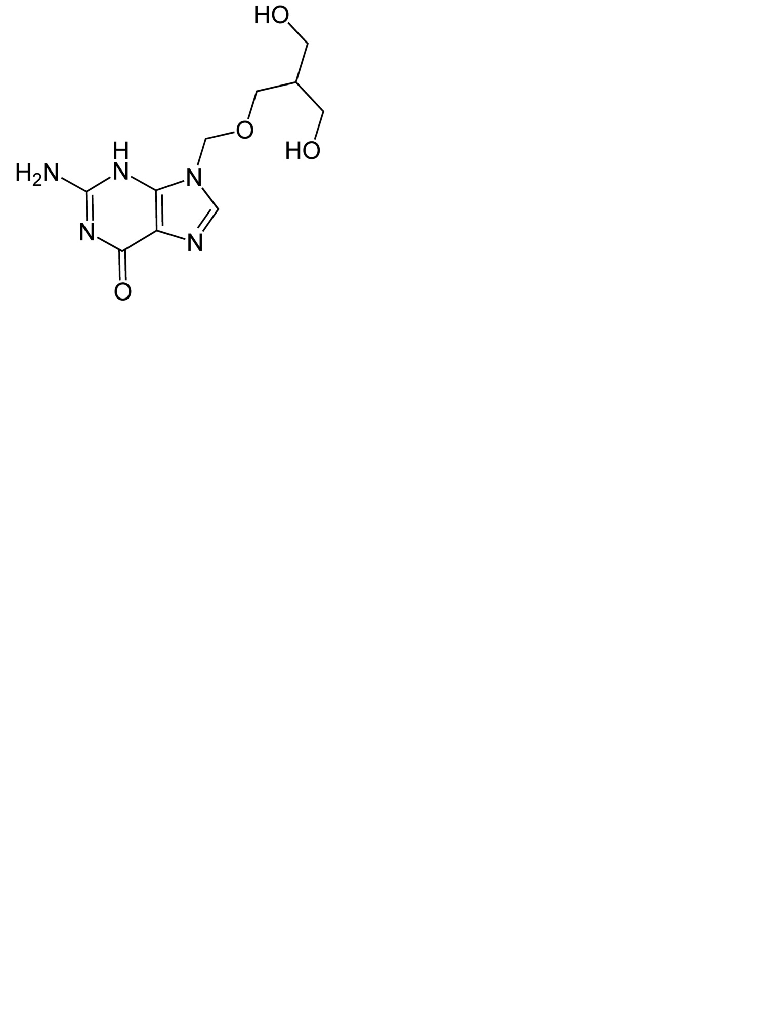
Antiviraal middel   Ganciclovir  
Oogwater
Stabiliteit van farmaceutische preparaten Stabiliteit in mengsels Factoren die de stabiliteit beïnvloeden Verenigbaarheden Literatuur pdf
   Molecuulstructuur  

Oogwater
Stabiliteit van farmaceutische preparaten   Oogwater   Stabiliteit van farmaceutische preparaten : Ganciclovir     
Verpakking Origine  ikˈsipēənt hulpstof Temperatuur Bewaring Duur van de stabiliteit Literatuur
plastic fles Commercieel geneesmiddel 100 mg
® = La Roche
water voor injectie >> 5 mL
2-8°C Buiten invloed van licht
84 Dag
4729
plastic fles Commercieel geneesmiddel 100 mg
® = La Roche
water voor injectie >> 5 mL
28-32°C Buiten invloed van licht
56 Dag
4729

  Mentions Légales