Senaste uppdateringen :
27/01/2026
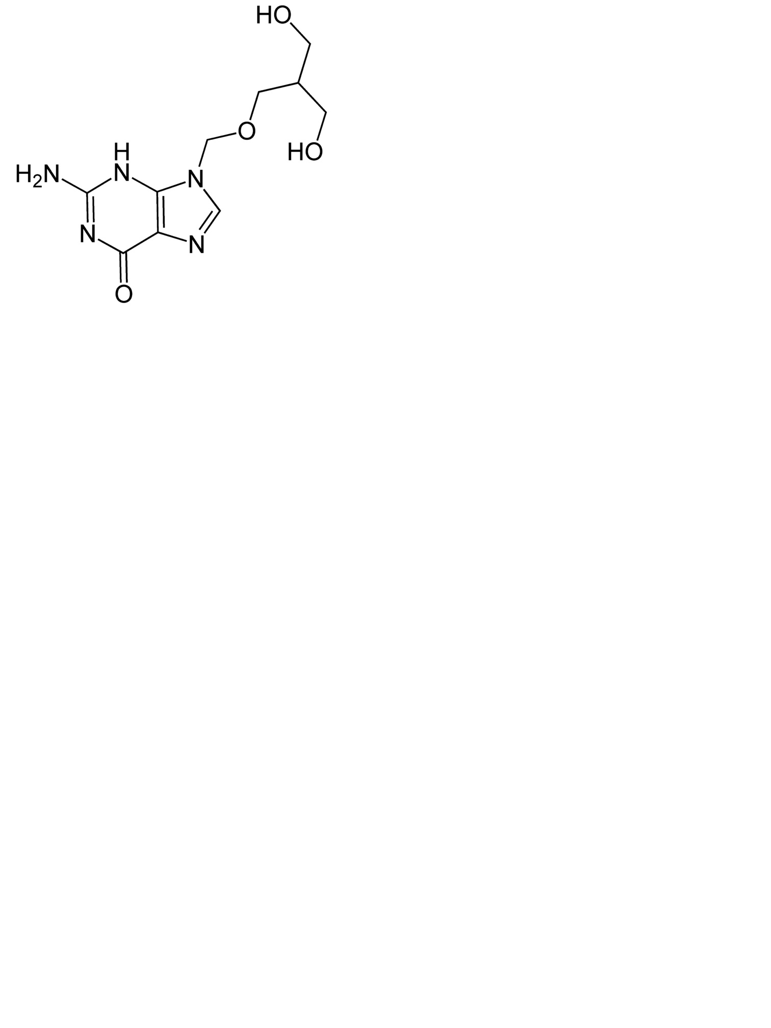
Antiviralt medel   Ganciclovir  
ögondroppar
Stabilitet av läkemedel Stabilitet i blandningar Faktorer som påverkar stabiliteten Kompatibilitet Hänvisningar pdf
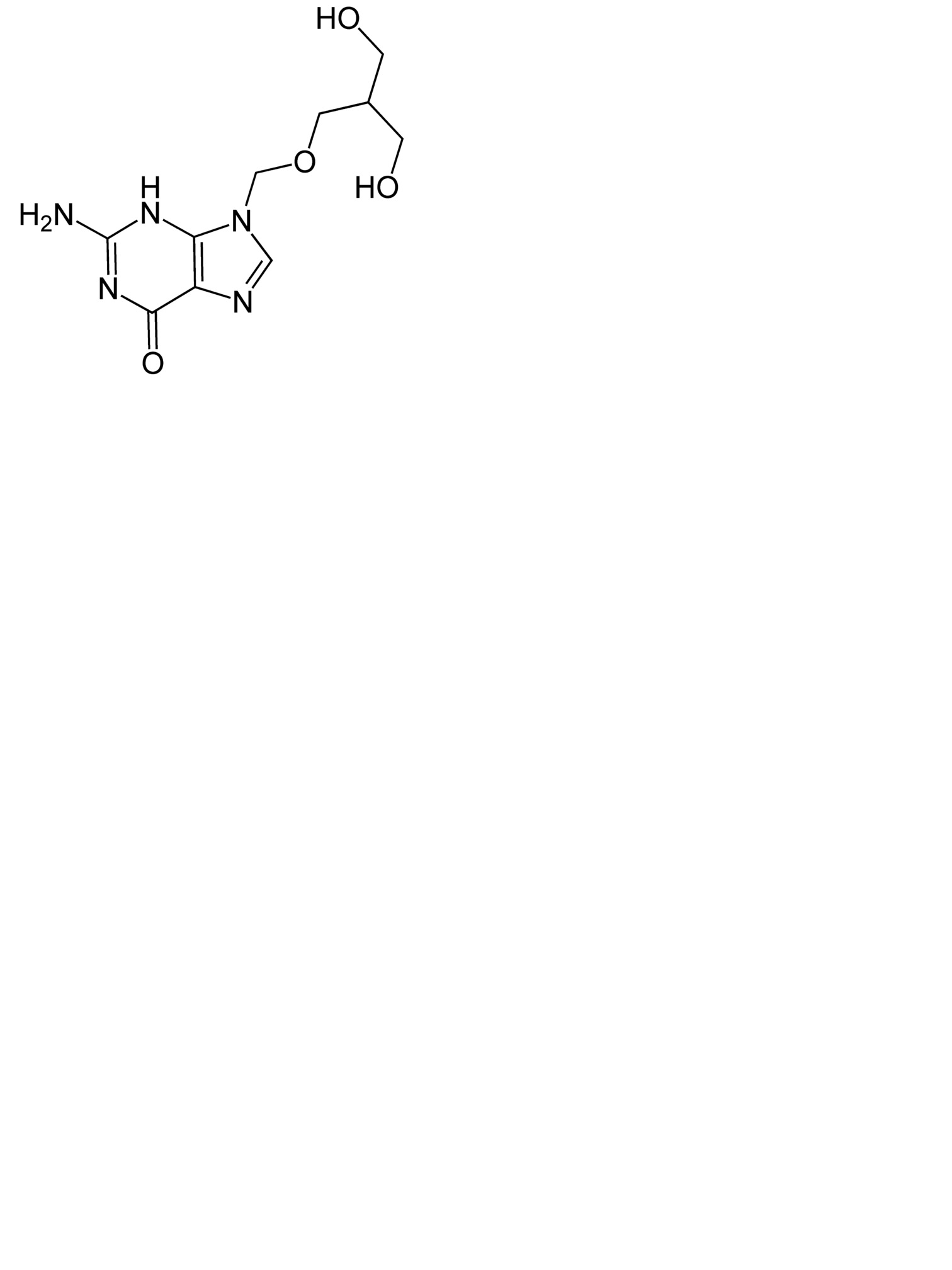
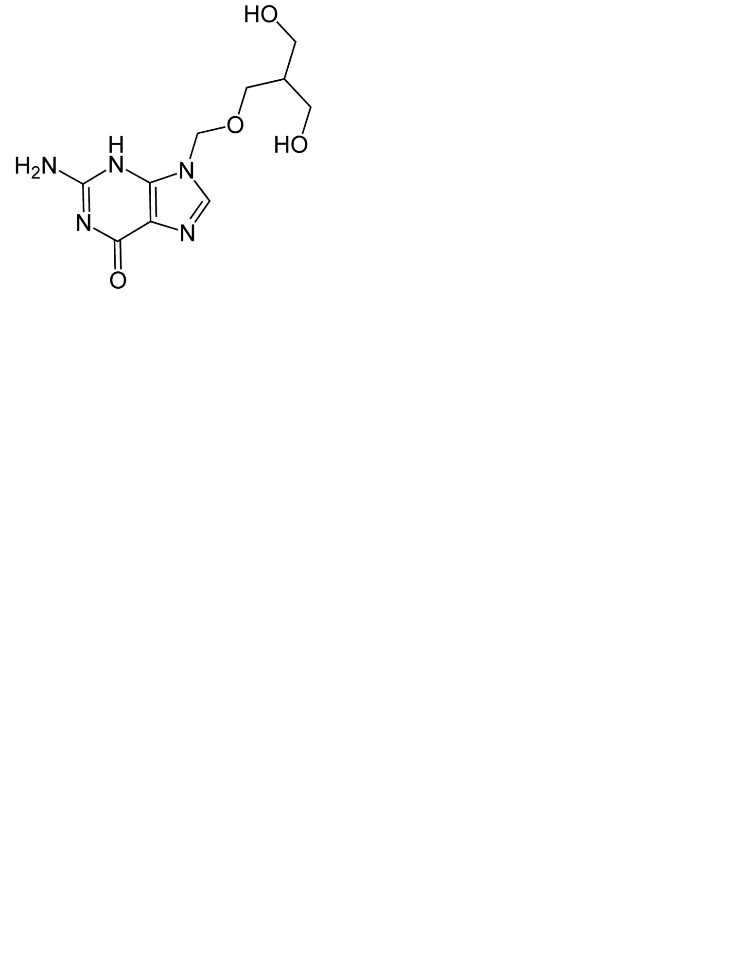
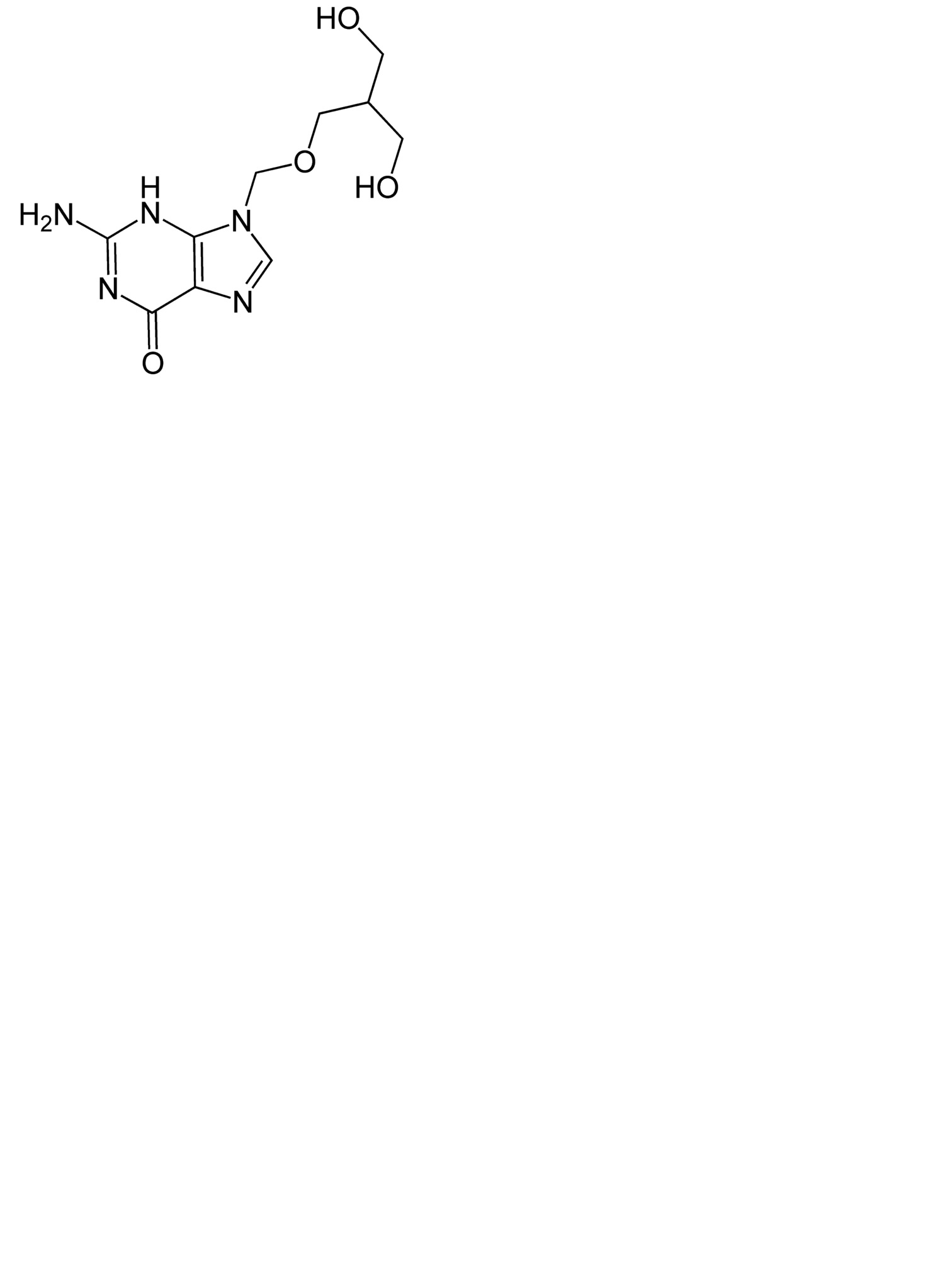
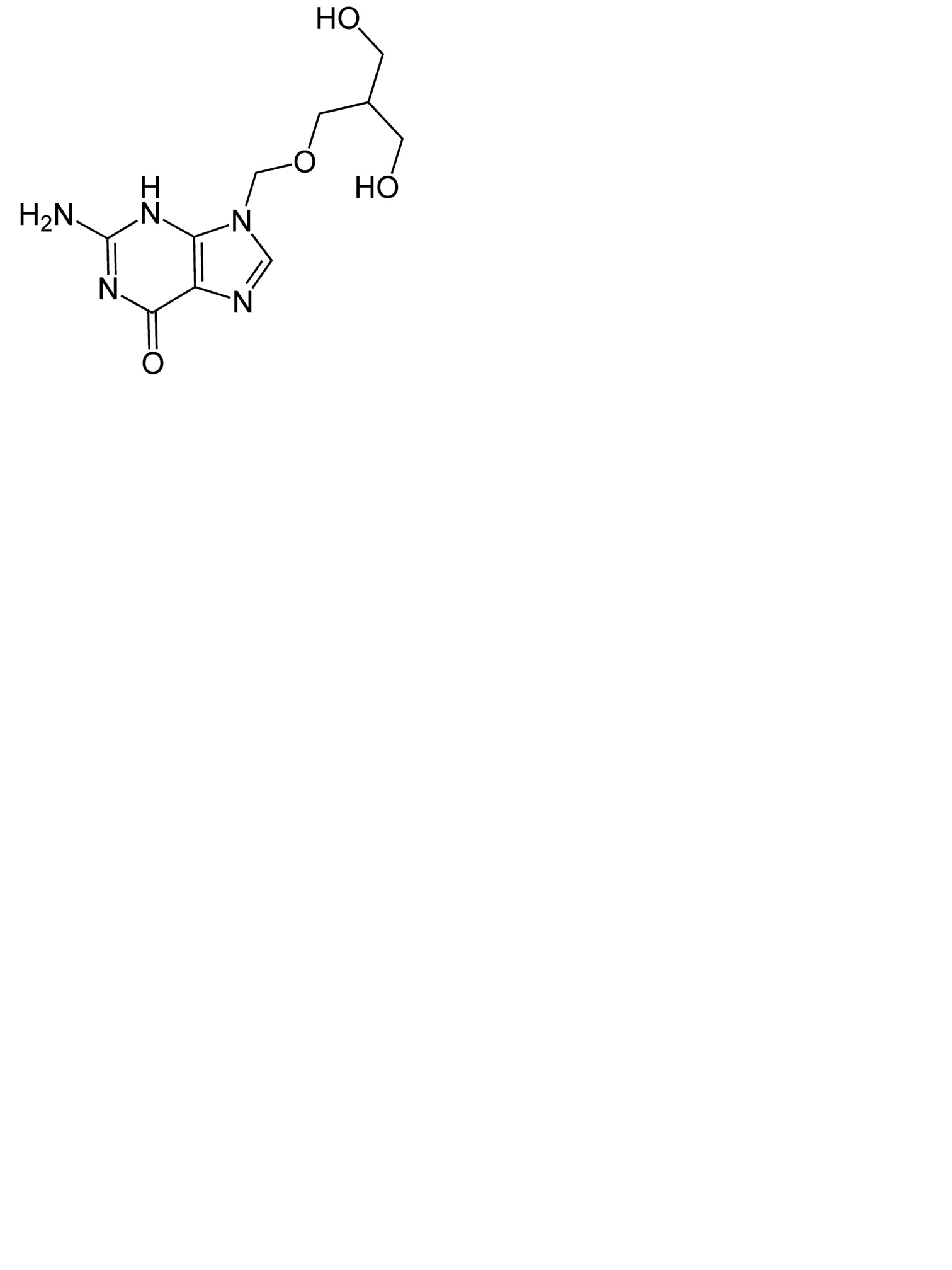
   Molekylstruktur  

ögondroppar

Faktorer som påverkar stabiliteten   ögondroppar   Faktorer som påverkar stabiliteten : Ganciclovir        
Ingen uppgift

  Mentions Légales