Poslední aktualizace :
27/01/2026
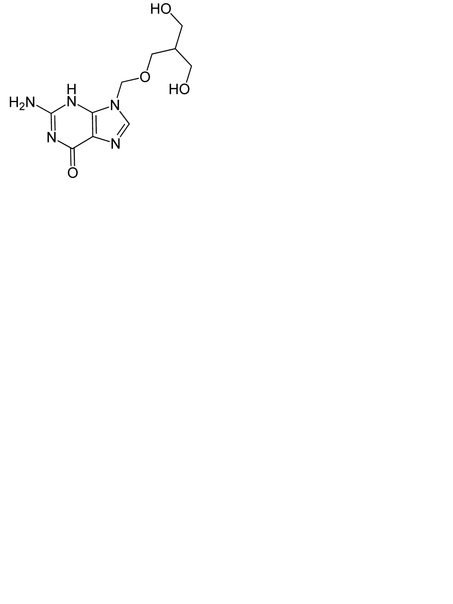
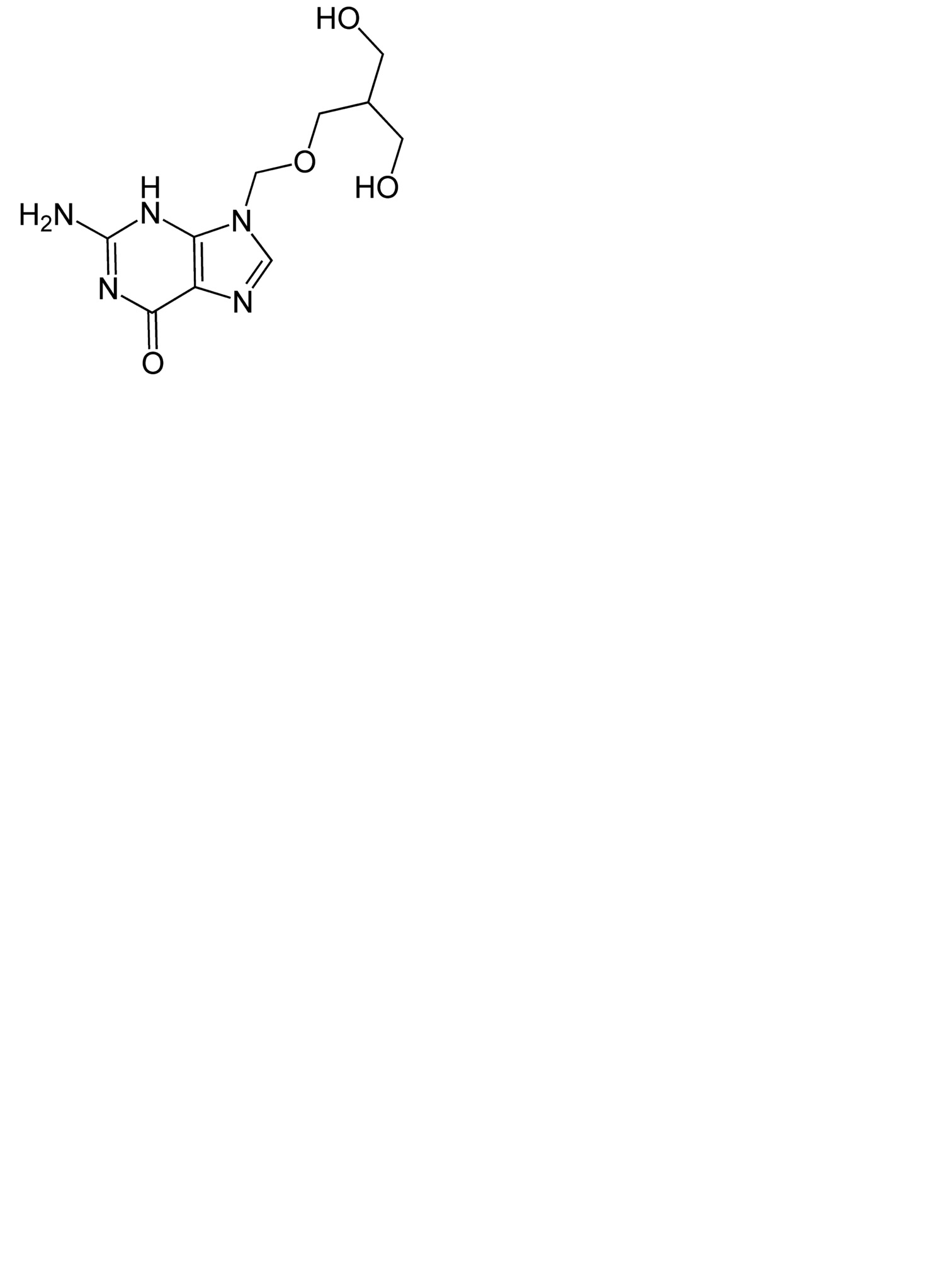
Antivirotikum   Ganciclovir  
Humbuk
Stabilita farmaceutických přípravků Stabilita směsí Faktory ovlivňující stabilitu Kompatibilita Odkazy pdf
   Chemický vzorec  

Humbuk

Faktory ovlivňující stabilitu   Humbuk   Faktory ovlivňující stabilitu : Ganciclovir        
žádná data

  Mentions Légales