Ultimo aggiornamento :
27/01/2026
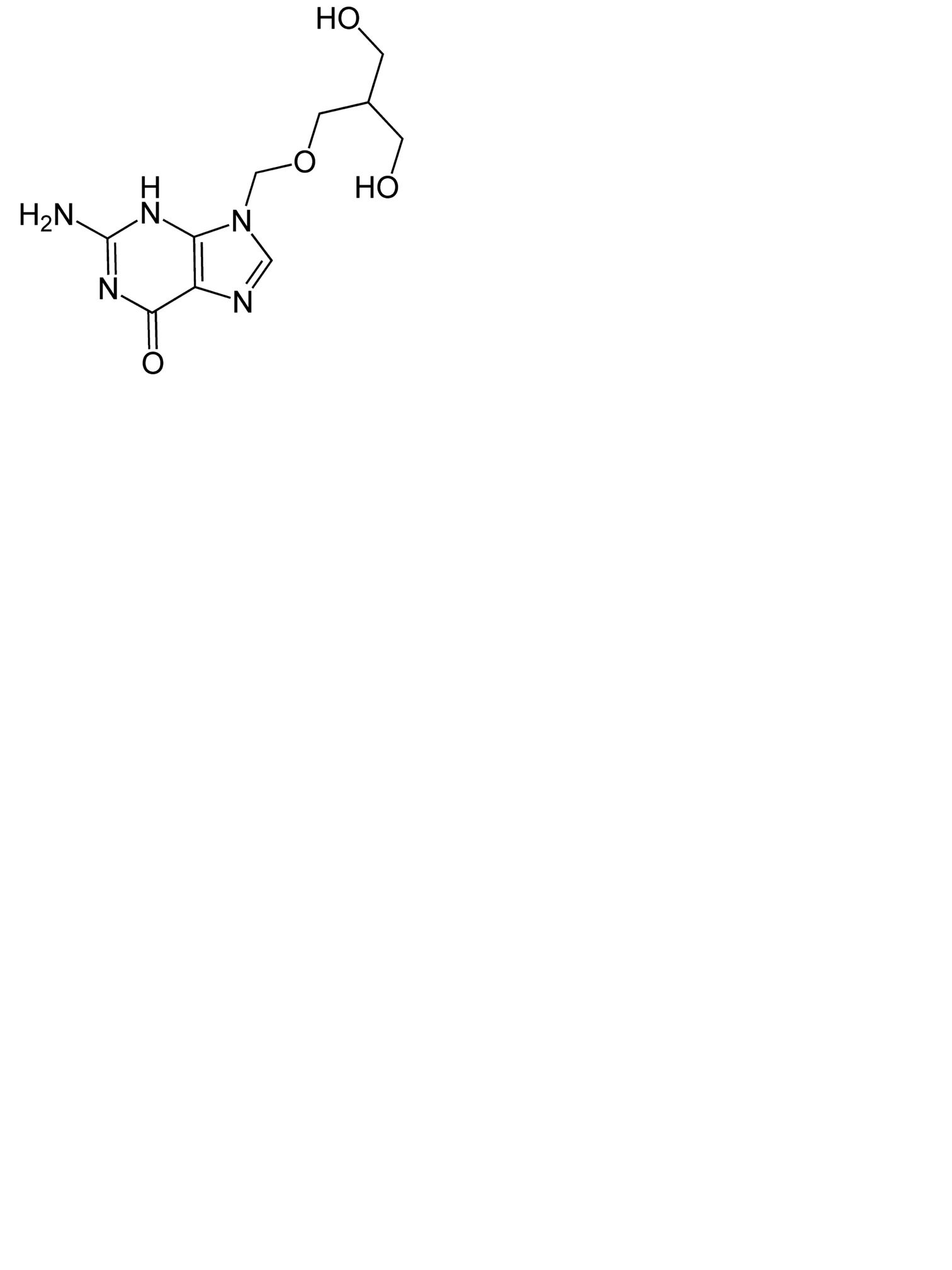
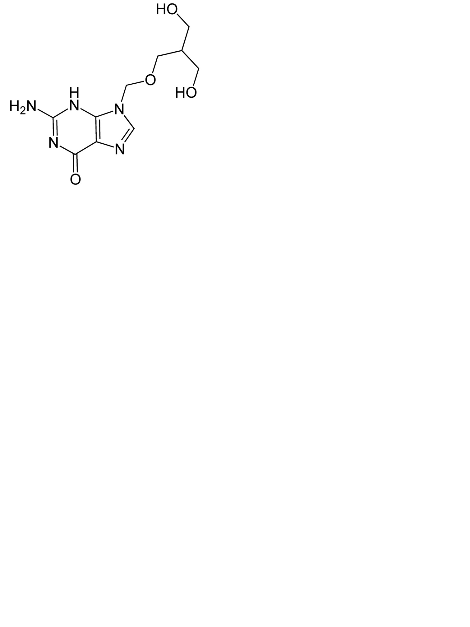
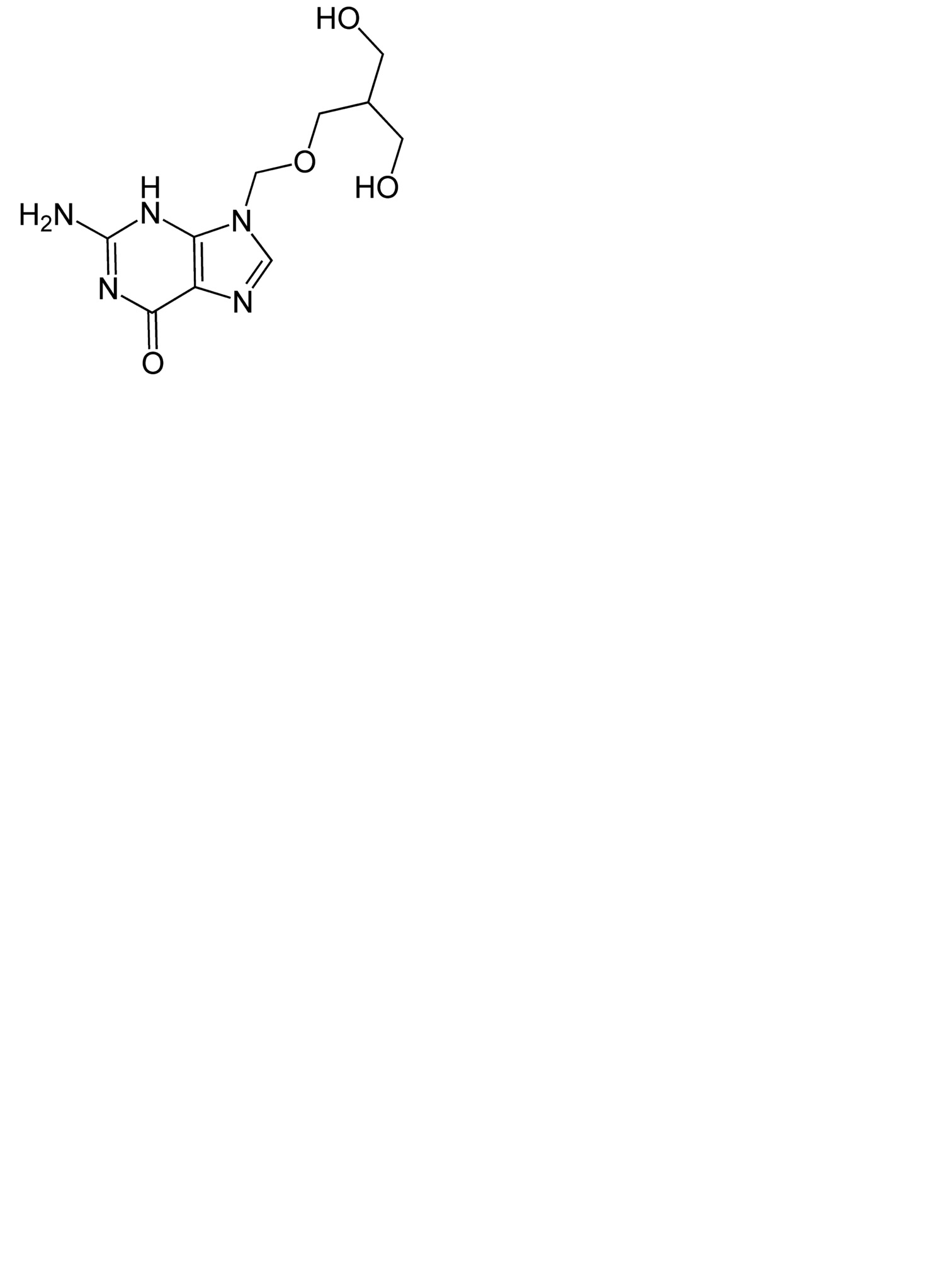
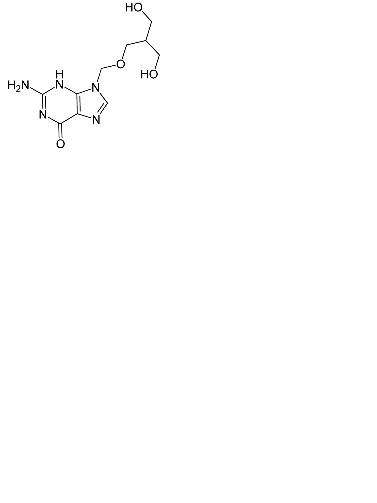
Antivirale   Ganciclovir  
Collirio
Stabilità dei preparati farmaceutici Stabilità in miscela Fattori che influenzano la stabilità Compatibilità Bibliografia pdf
   Struttura chimica  

Collirio

Fattori che influenzano la stabilità   Collirio   Fattori che influenzano la stabilità : Ganciclovir        
Assenza di dati

  Mentions Légales