Pēdējā atjaunošana :
27/01/2026
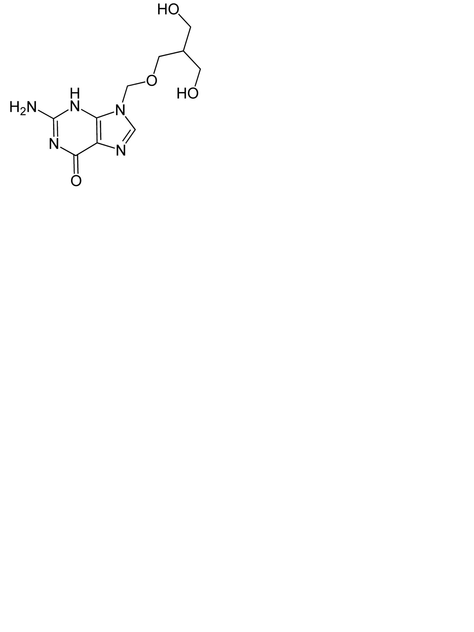
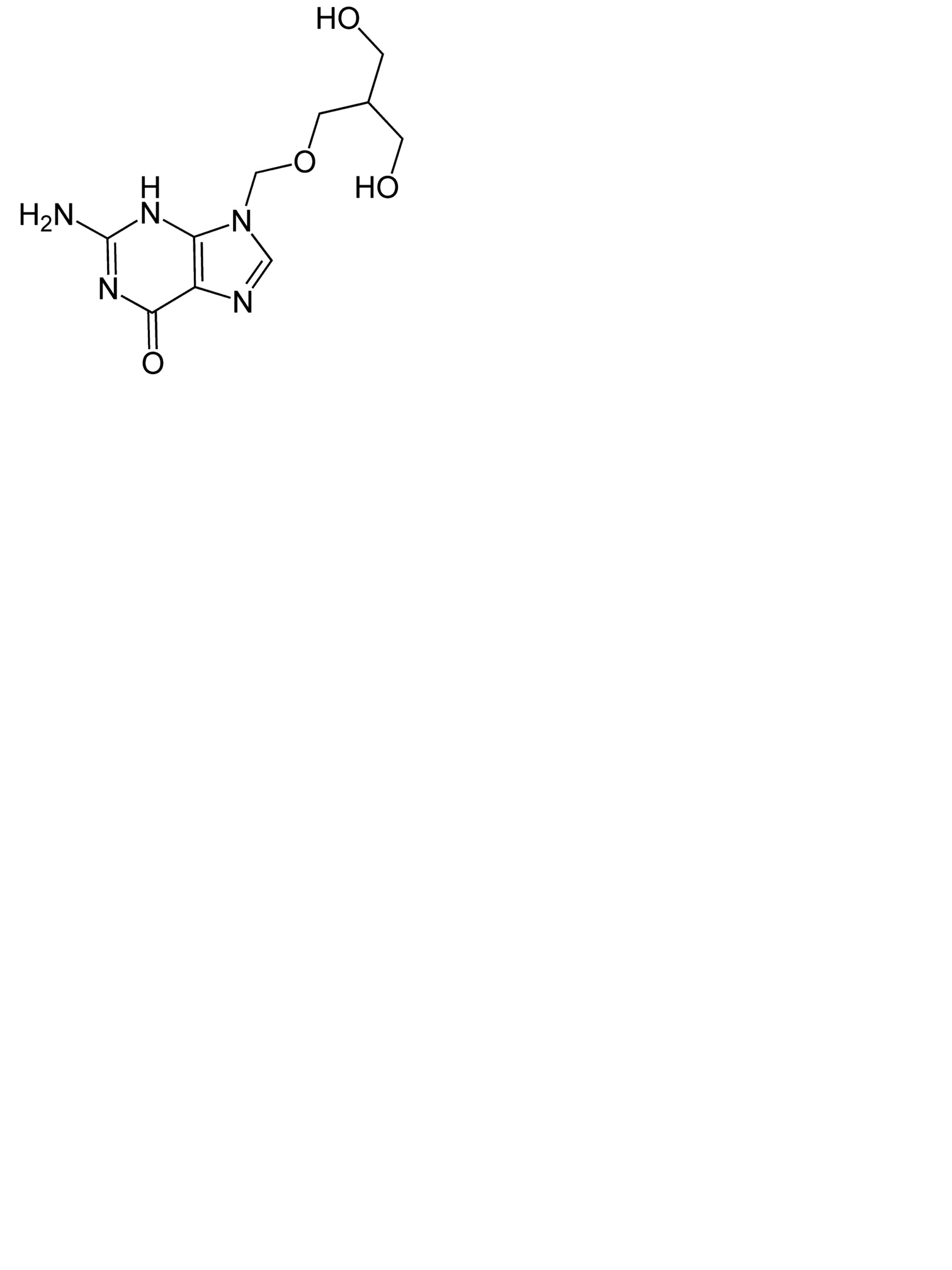
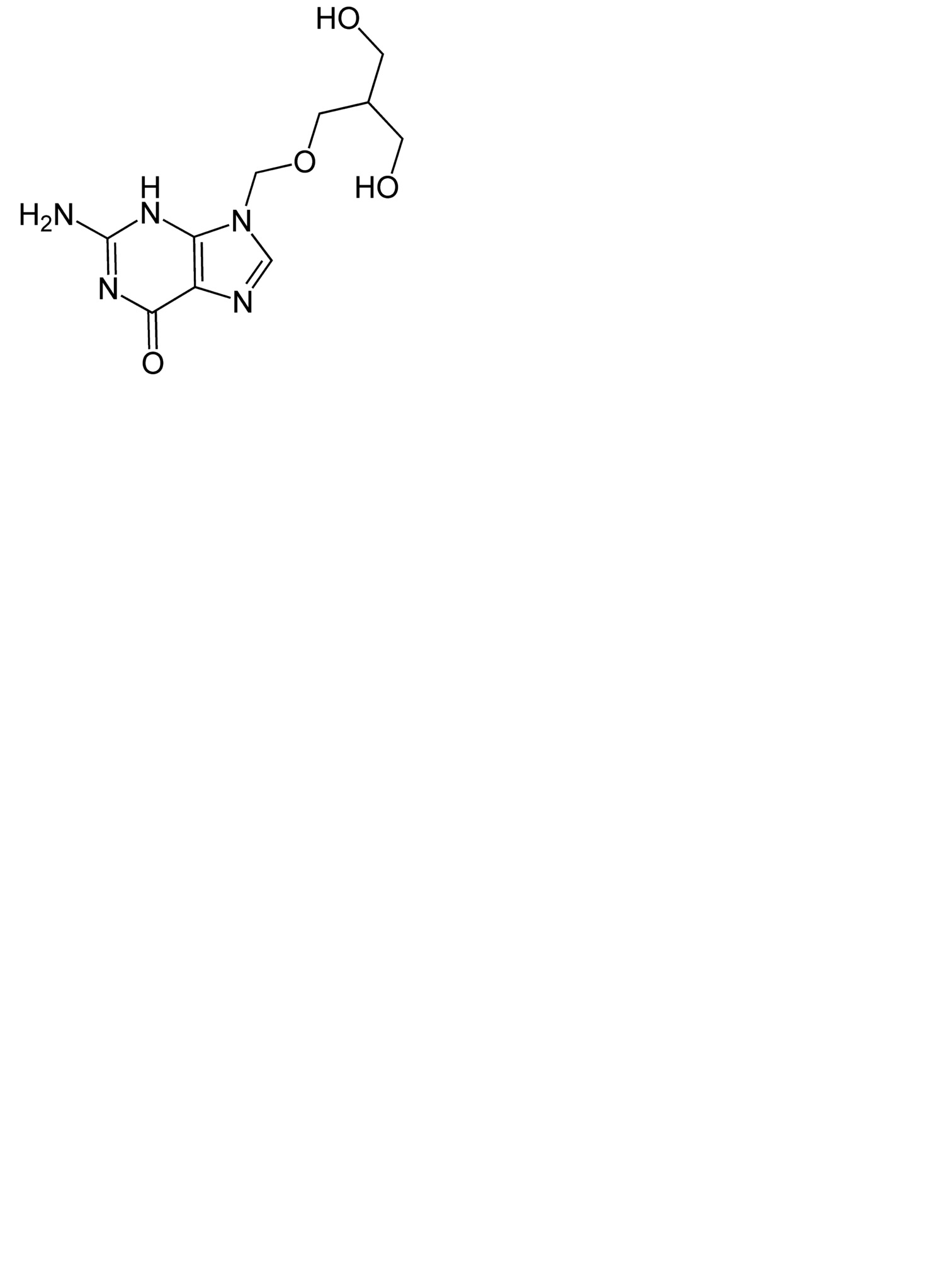
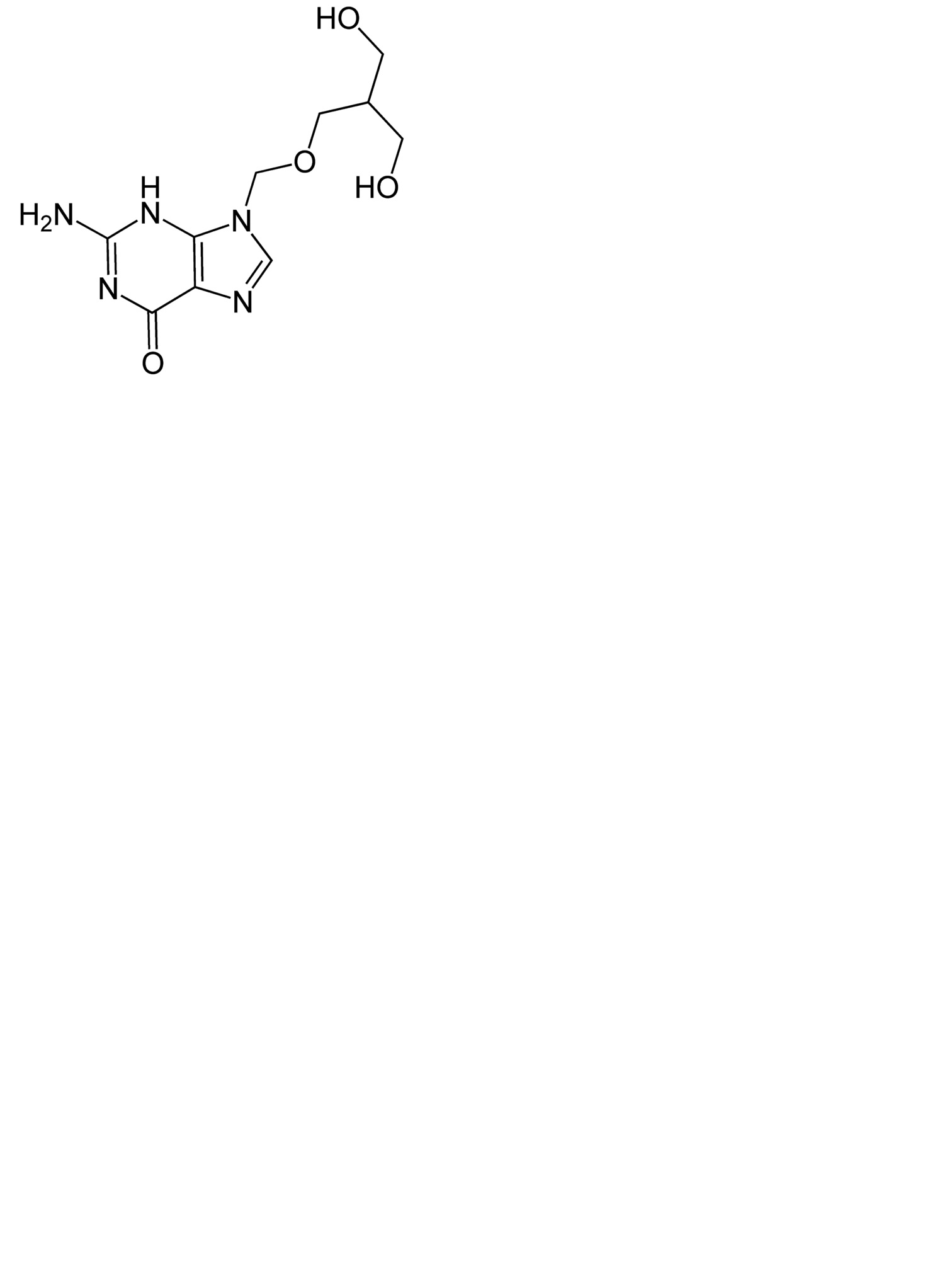
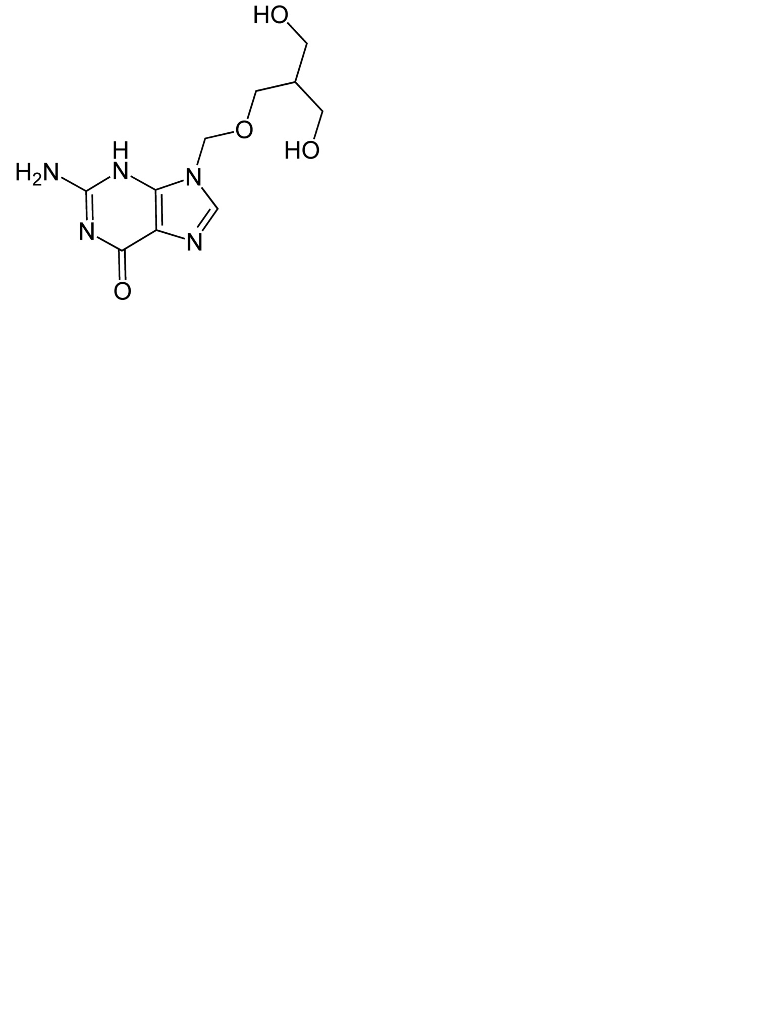
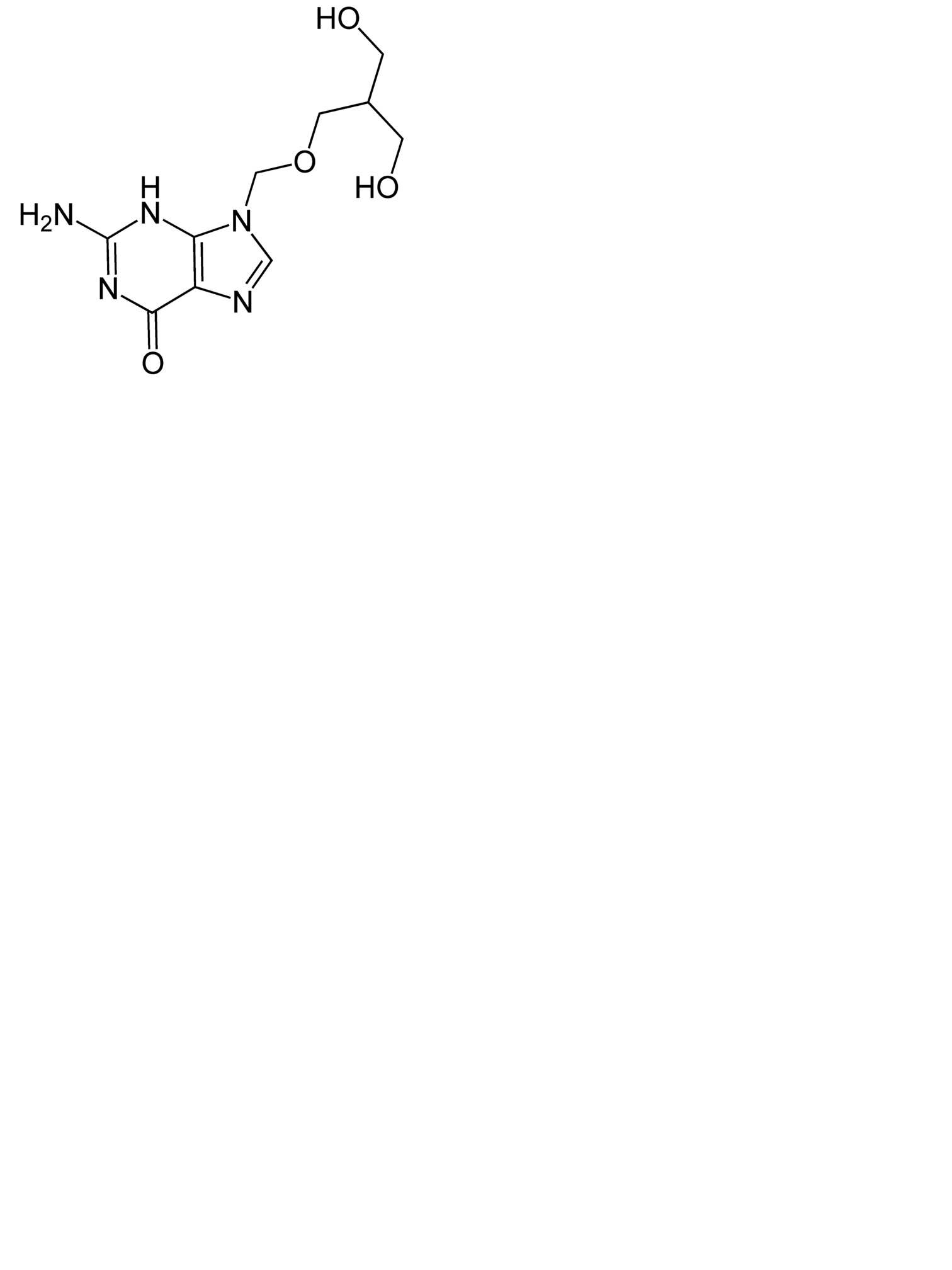
Pretvīrusu līdzeklis   Ganciclovir  
Acu pilieni
Stabilitāte farmaceitisko preparātu Maisījuma stabilitāte Stabilitāti ietekmējoši faktori Saderība Literatūras saraksts pdf
   Ķīmiskā uzbūve   

Acu pilieni

Stabilitāti ietekmējoši faktori   Acu pilieni   Stabilitāti ietekmējoši faktori : Ganciclovir        
Nav datu

  Mentions Légales