viimane versioon :
27/01/2026
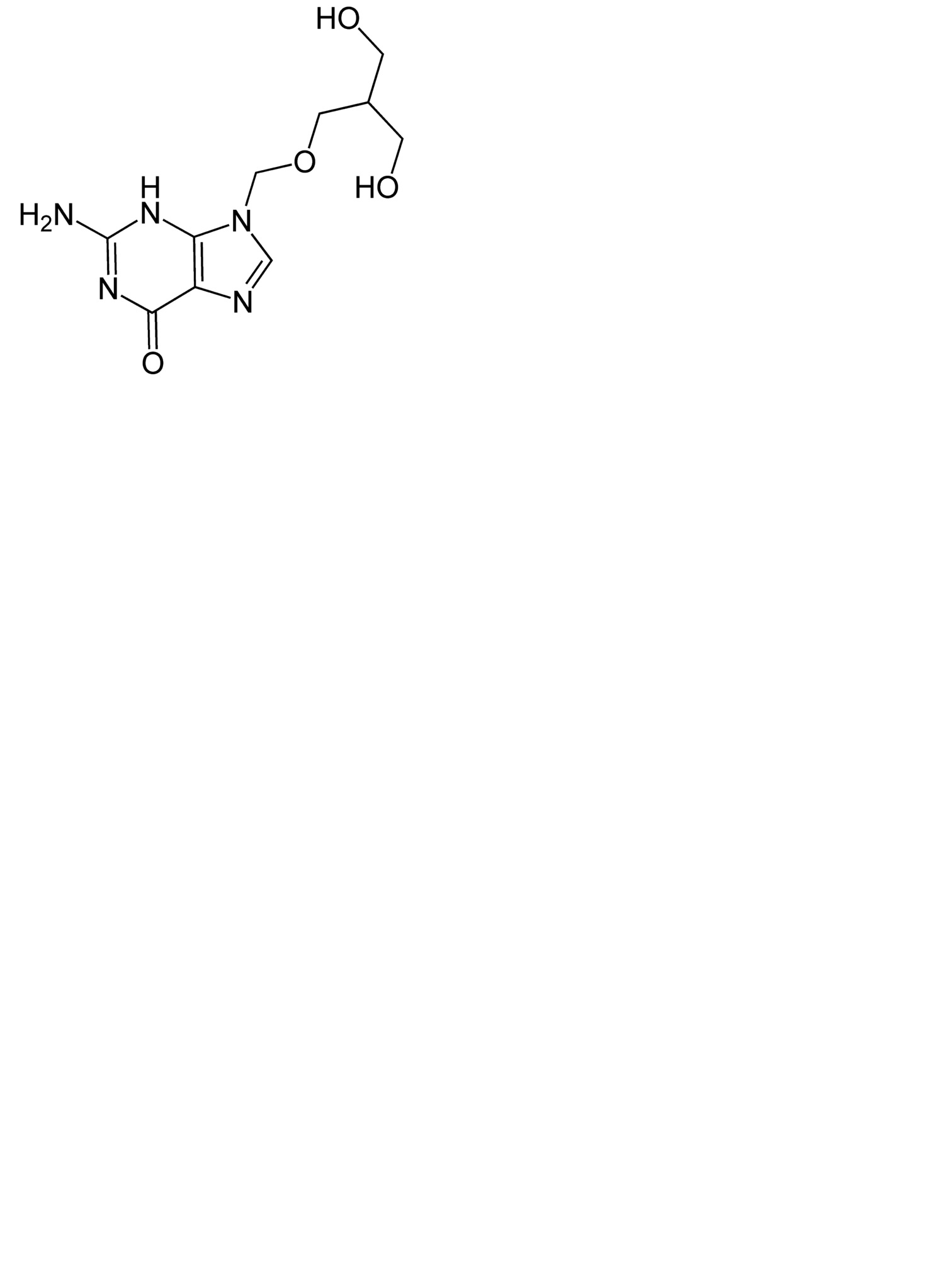
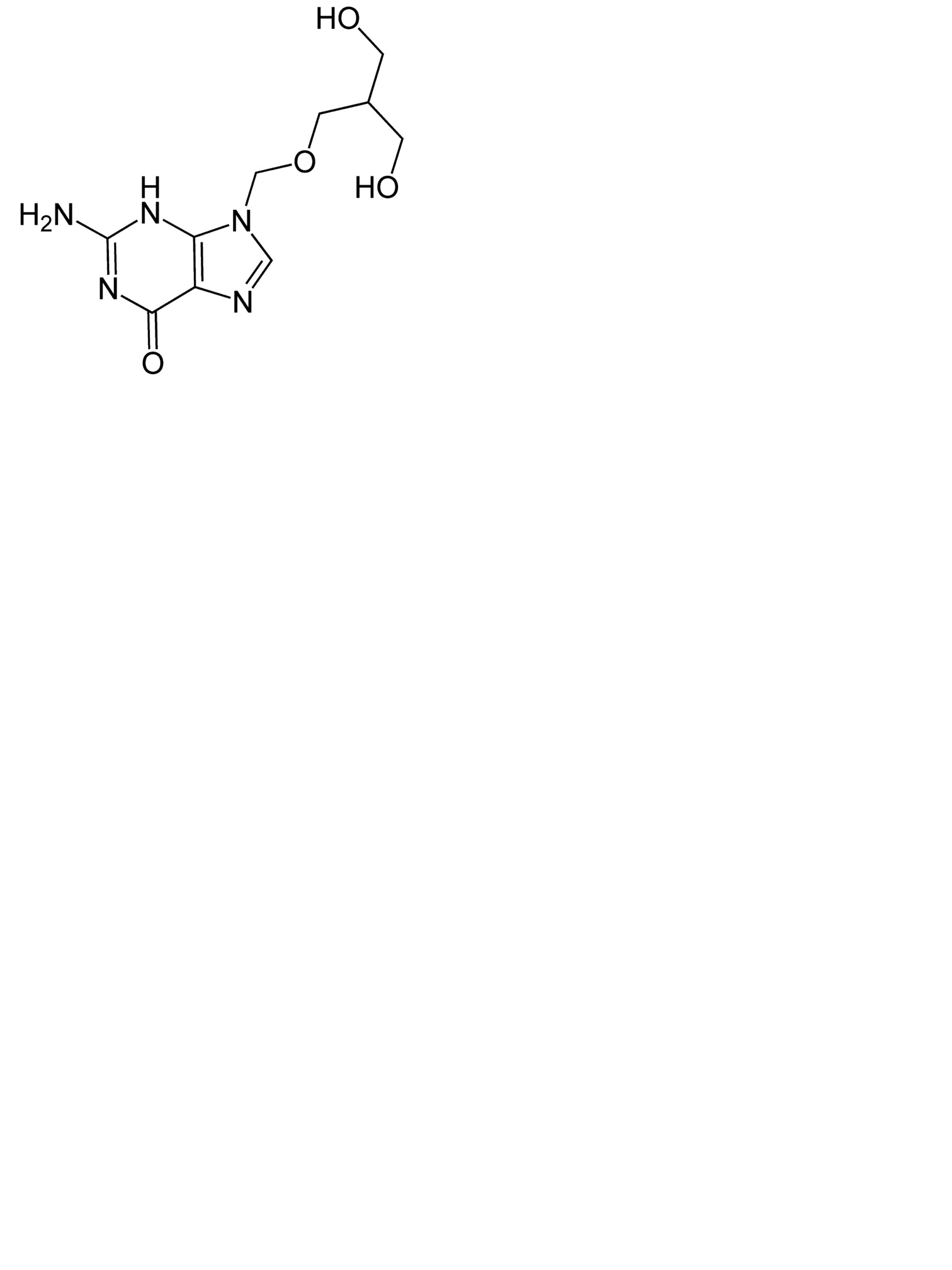
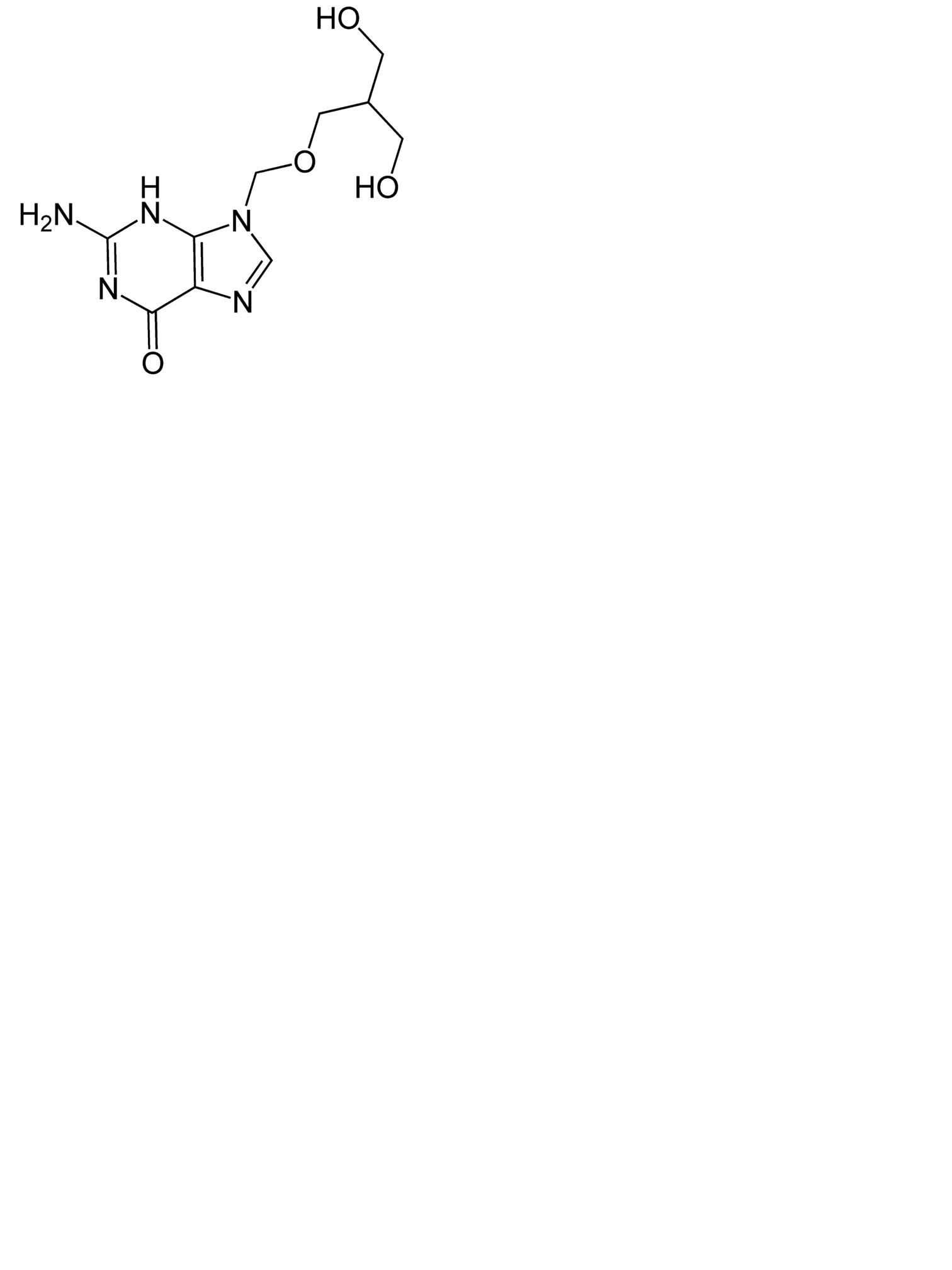
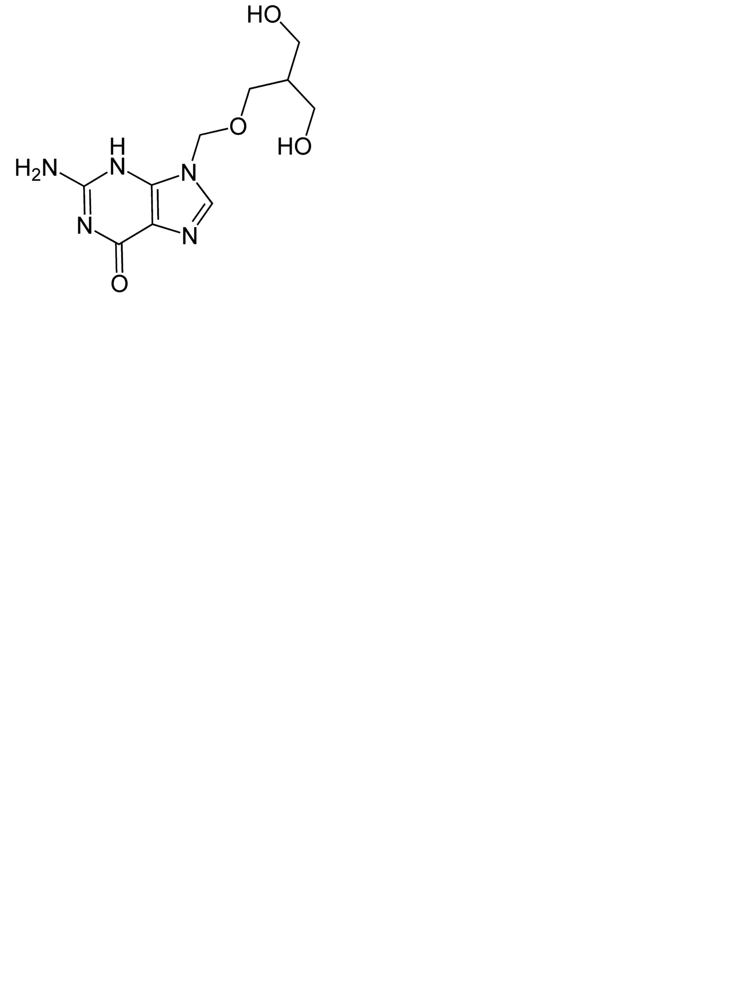
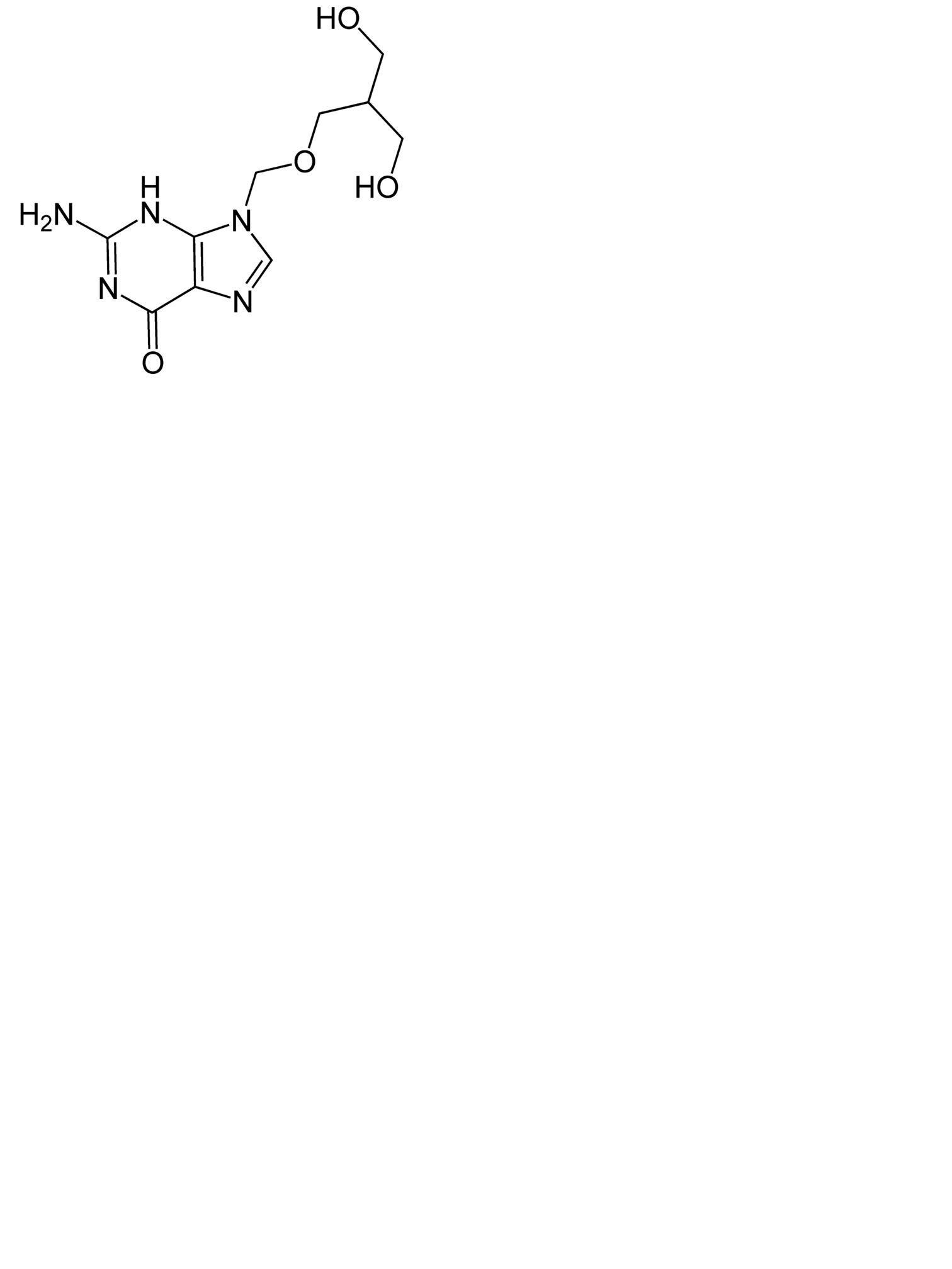
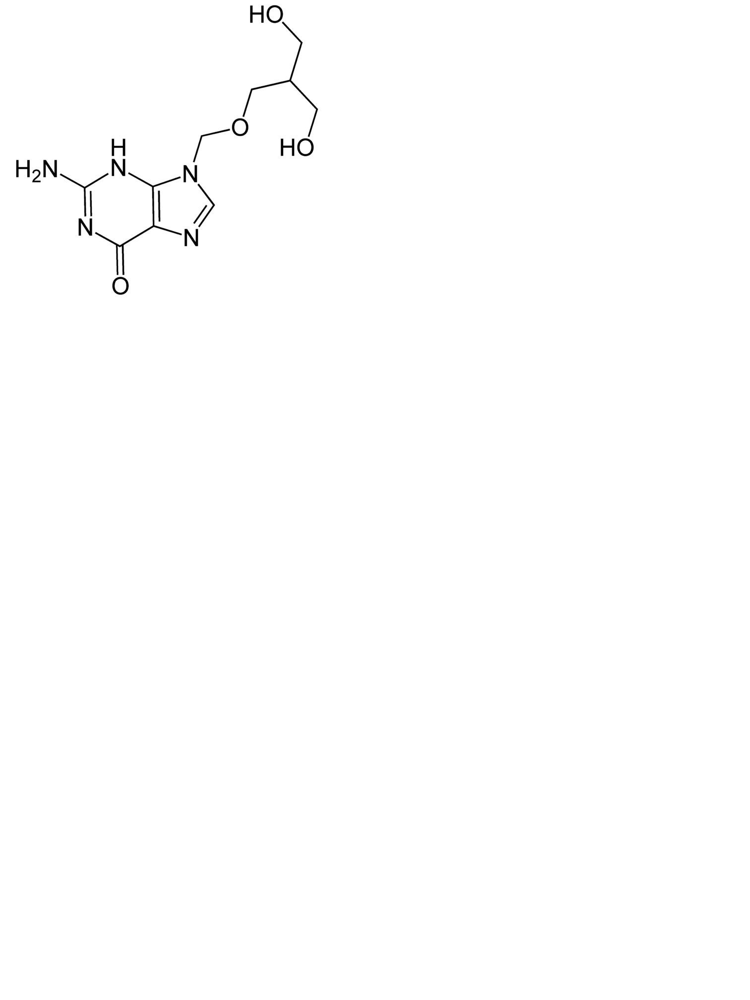
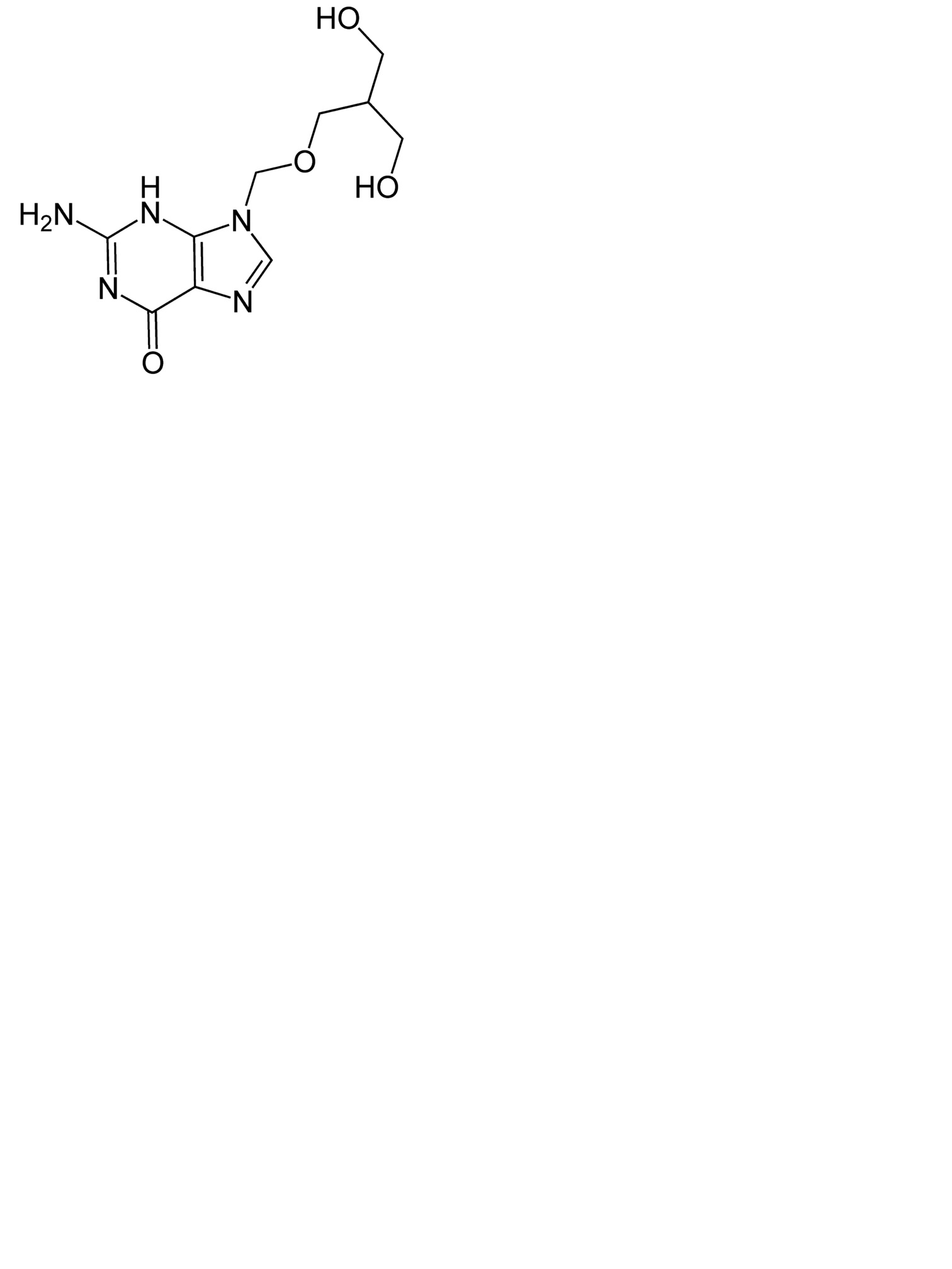
Viirusevastane ravim   Ganciclovir  
Silmatilgad
Stabiilsust ravimpreparaadid Stabiilsust mõjutavad tegurid stabiilsust mõjutavad faktorid Sobimatus Viited pdf
   keemiline struktuur  

Silmatilgad

stabiilsust mõjutavad faktorid   Silmatilgad   stabiilsust mõjutavad faktorid : Ganciclovir        
andmed puuduvad

  Mentions Légales