Τελευταία ενημέρωση :
27/01/2026
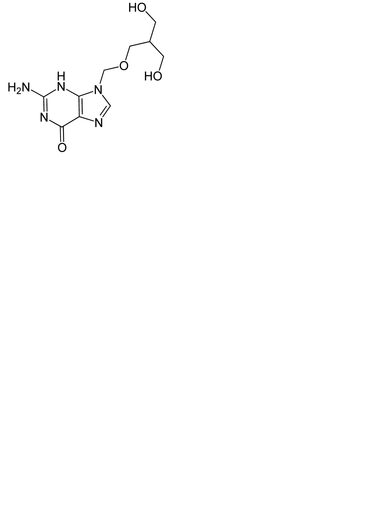
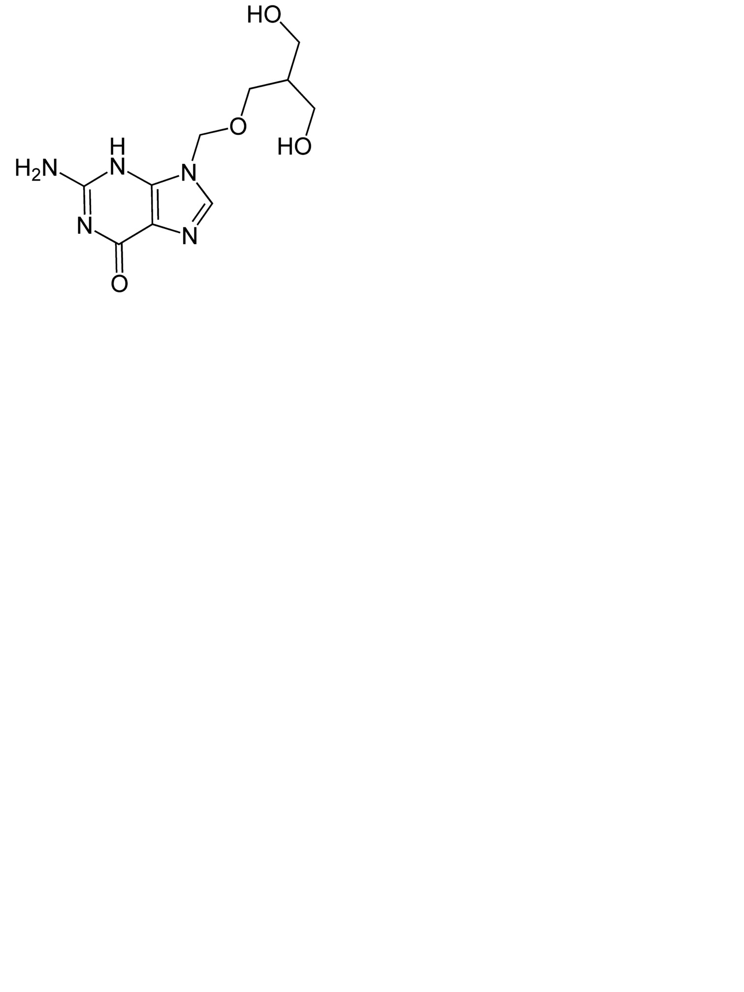
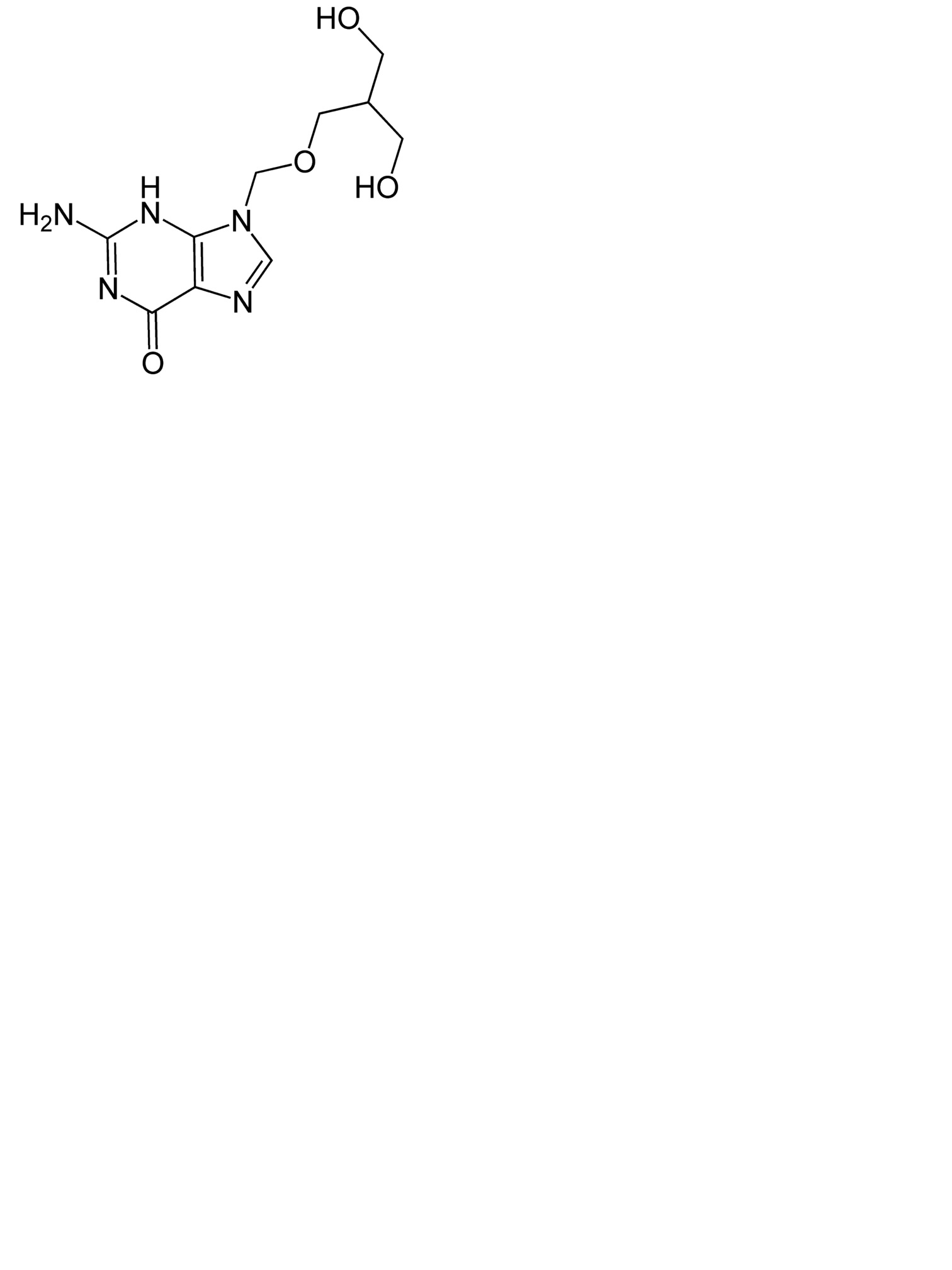
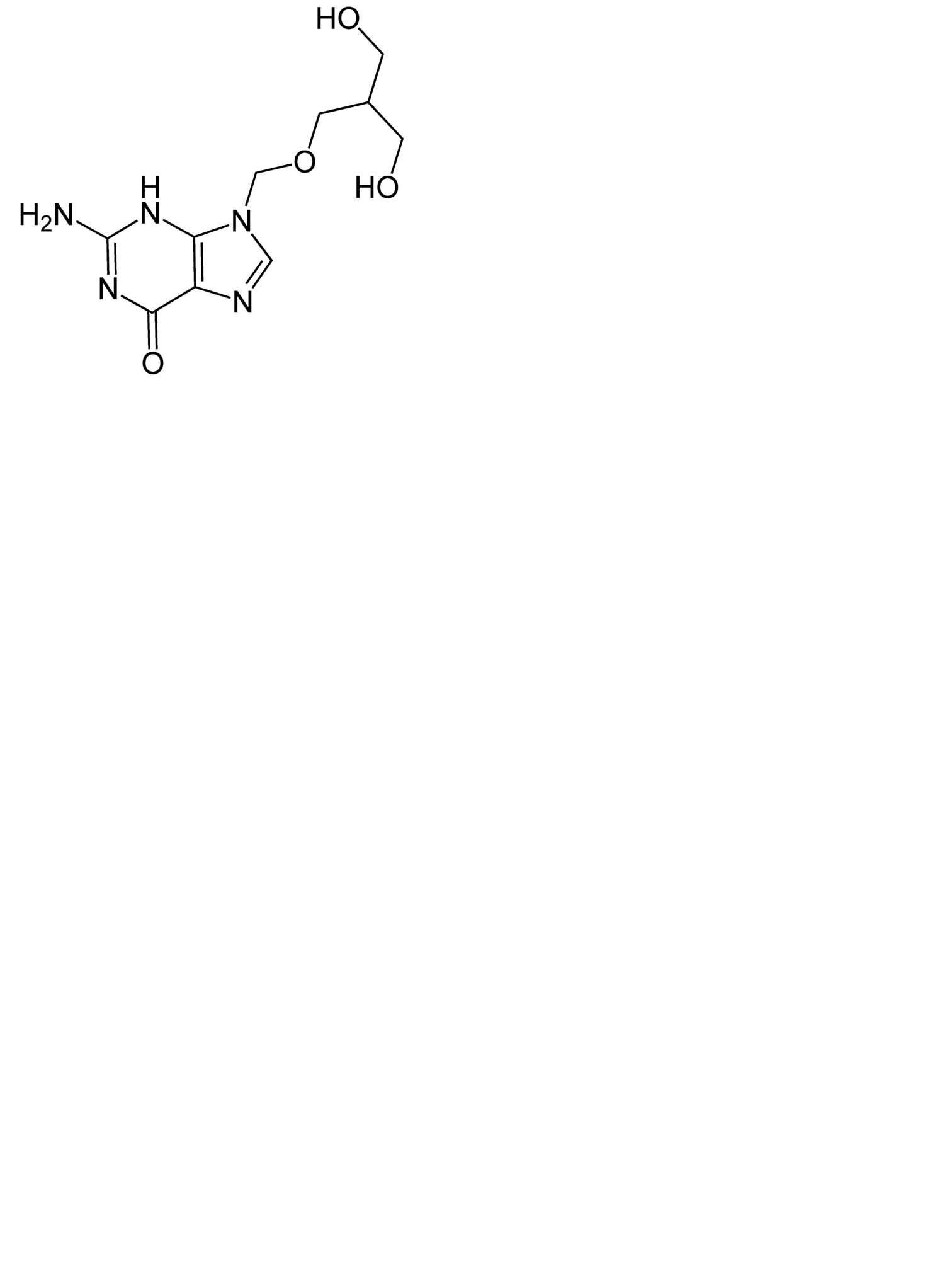
Αντιιικό   Ganciclovir  
Οφθαλμικές σταγόνες
Σταθερότητα και συμβατότητα των φαρμάκων Σταθερότητα σε μίγματα Παράγοντας που επηρεάζει τη σταθερότητα Συμβατότητες Βιβλιογραφία pdf
   χημική δομή  

Οφθαλμικές σταγόνες

Παράγοντας που επηρεάζει τη σταθερότητα   Οφθαλμικές σταγόνες   Παράγοντας που επηρεάζει τη σταθερότητα : Ganciclovir        
Δεν υπάρχουν πληροφορίες

  Mentions Légales