Ultimele actualizari :
27/04/2026
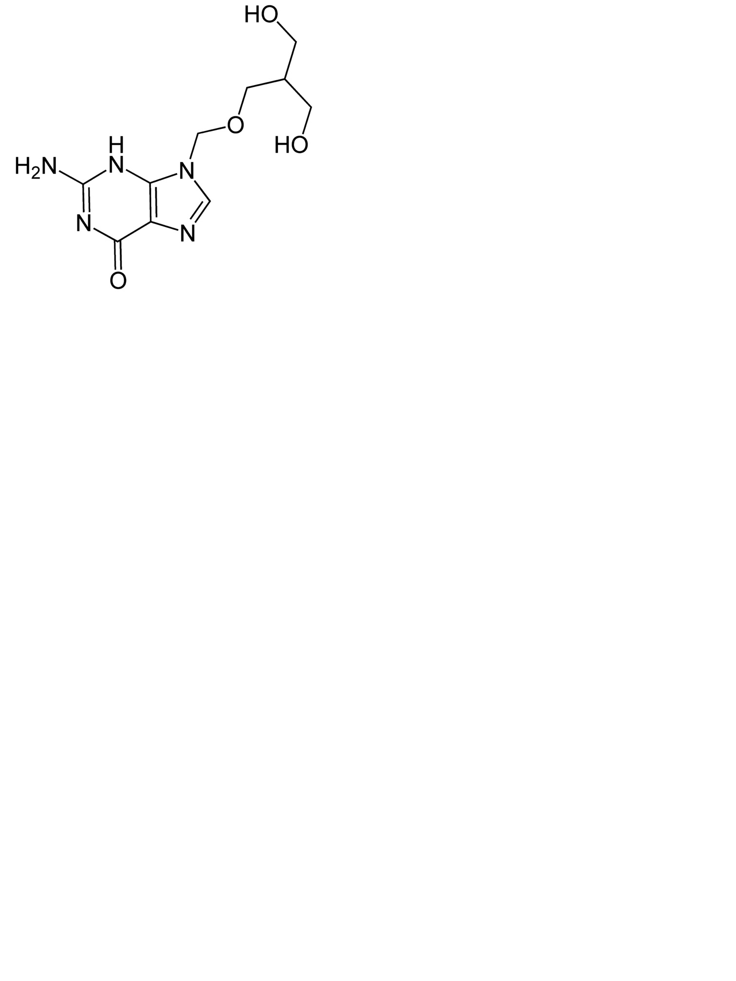
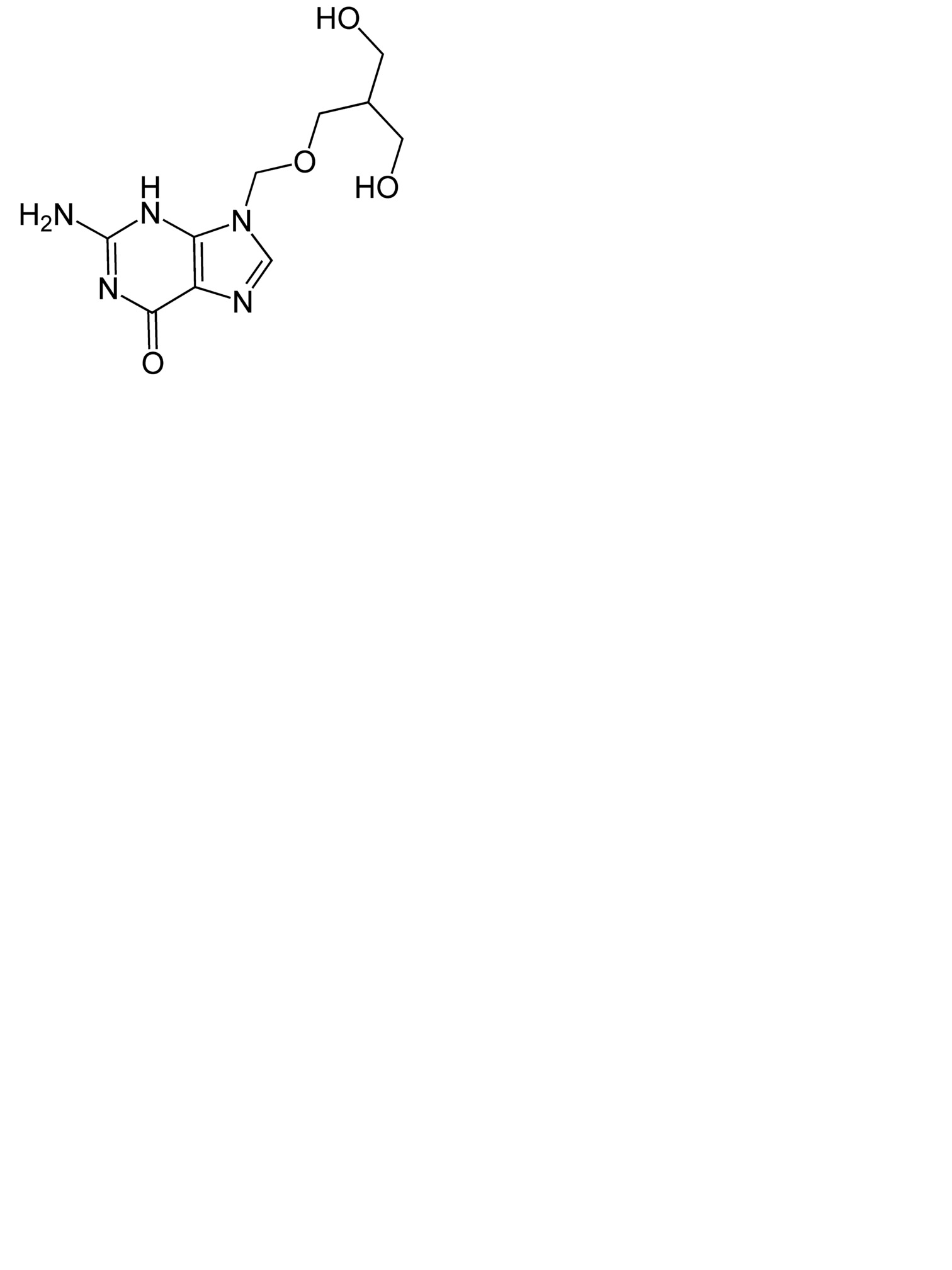
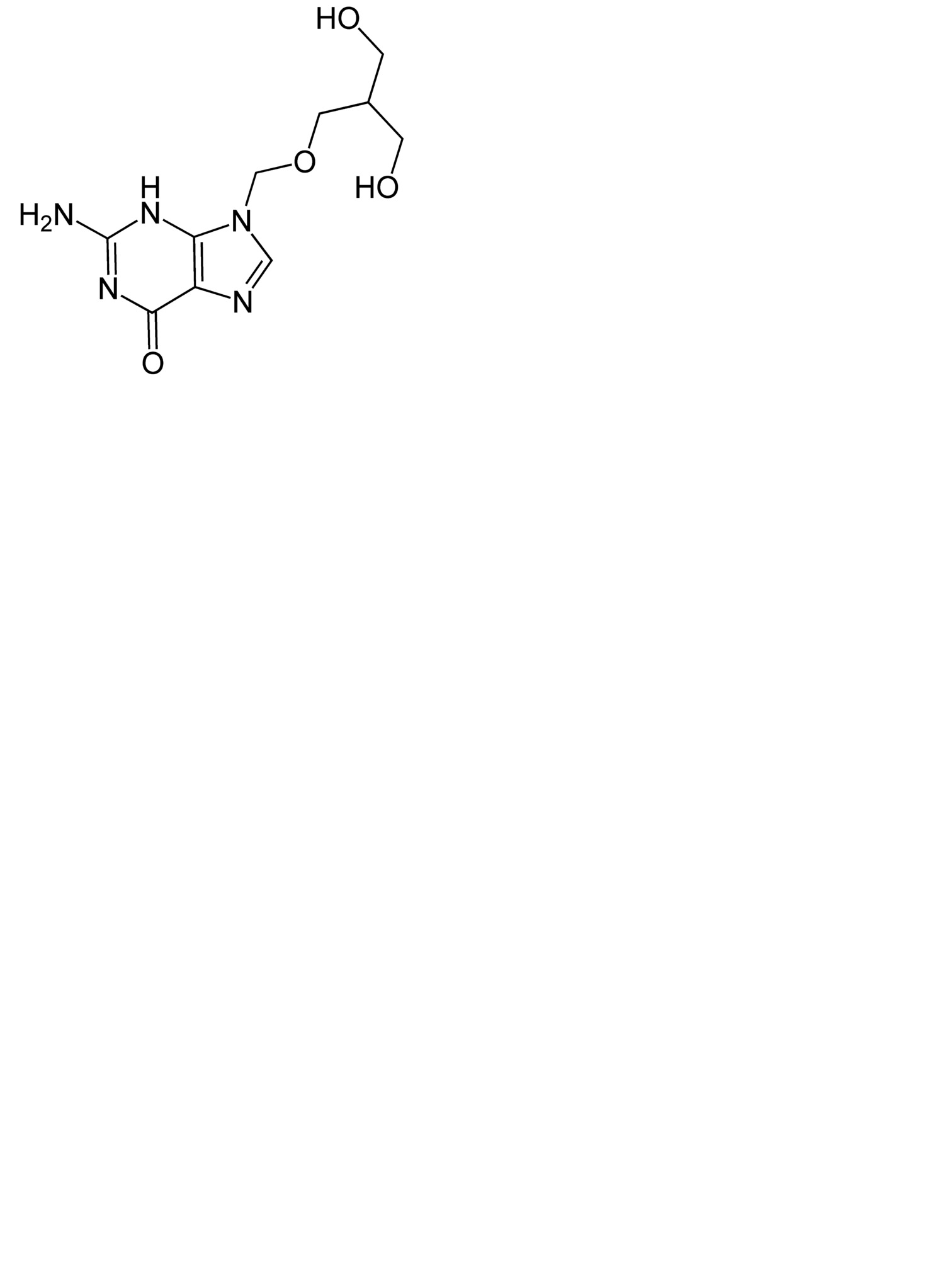
Antiviral   Ganciclovir  
colir
Stabilitatea preparatelor farmaceutice Stabilitatea in amestec Factorii care influenteaza stabilitatea Compatibilitate Bibliografie pdf
   Formula chimica  

colir

Factorii care influenteaza stabilitatea   colir   Factorii care influenteaza stabilitatea : Ganciclovir        
Absenta de date

  Mentions Légales