Последнее обновление :
27/04/2026
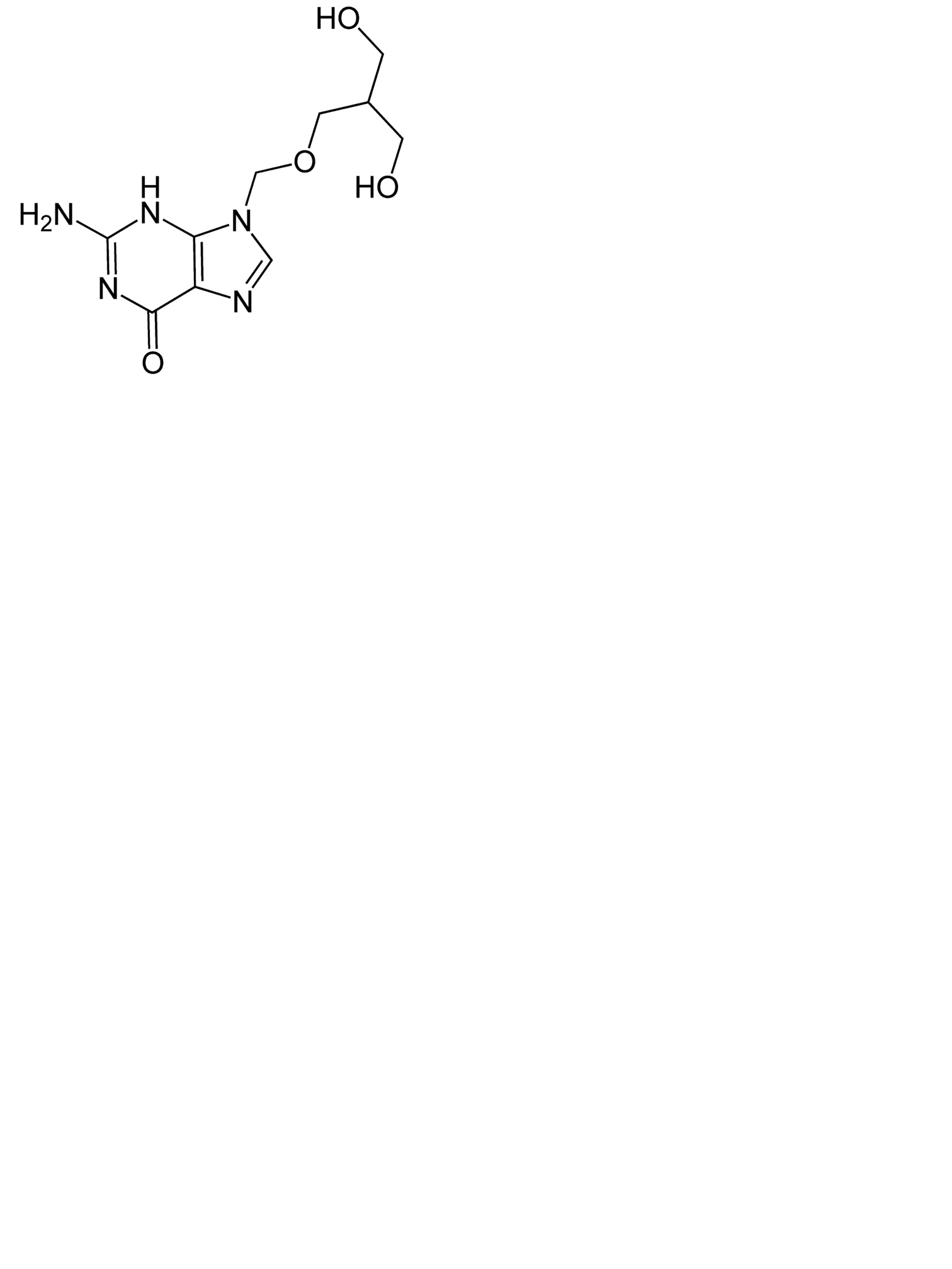
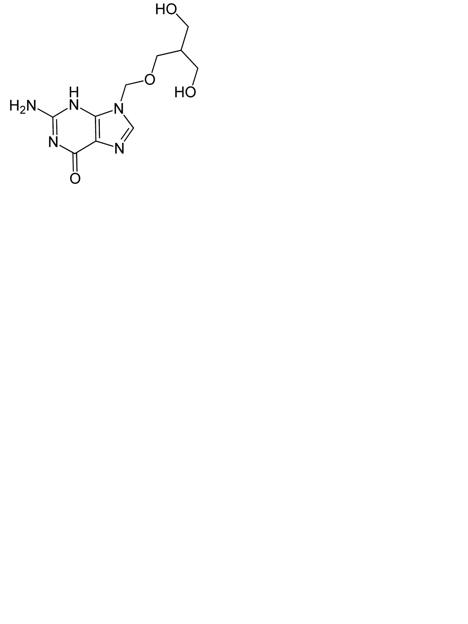
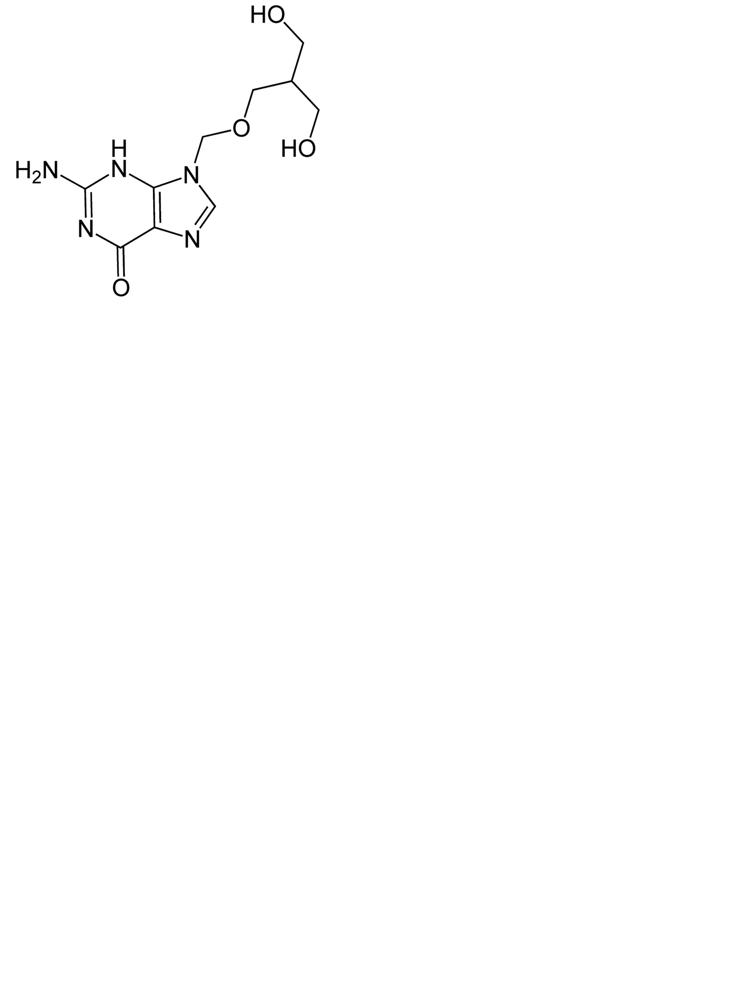
Противовирусное средство   Ganciclovir  
Глазные капли
Стабильность фармацевтических препаратов Стабильность смесей Факторы, которые влияют на стабильность Совместимость Библиография pdf
   Химическая структура  

Глазные капли

Факторы, которые влияют на стабильность   Глазные капли   Факторы, которые влияют на стабильность : Ganciclovir        
данных нет

  Mentions Légales