Última actualização :
27/01/2026
Antiviral   Ganciclovir  
solução oftálmica
Estabilidade de preparações farmacêuticas Estabilidade em misturas Factores que afectam a sua estabilidade Compatibilidade Bibliografía pdf
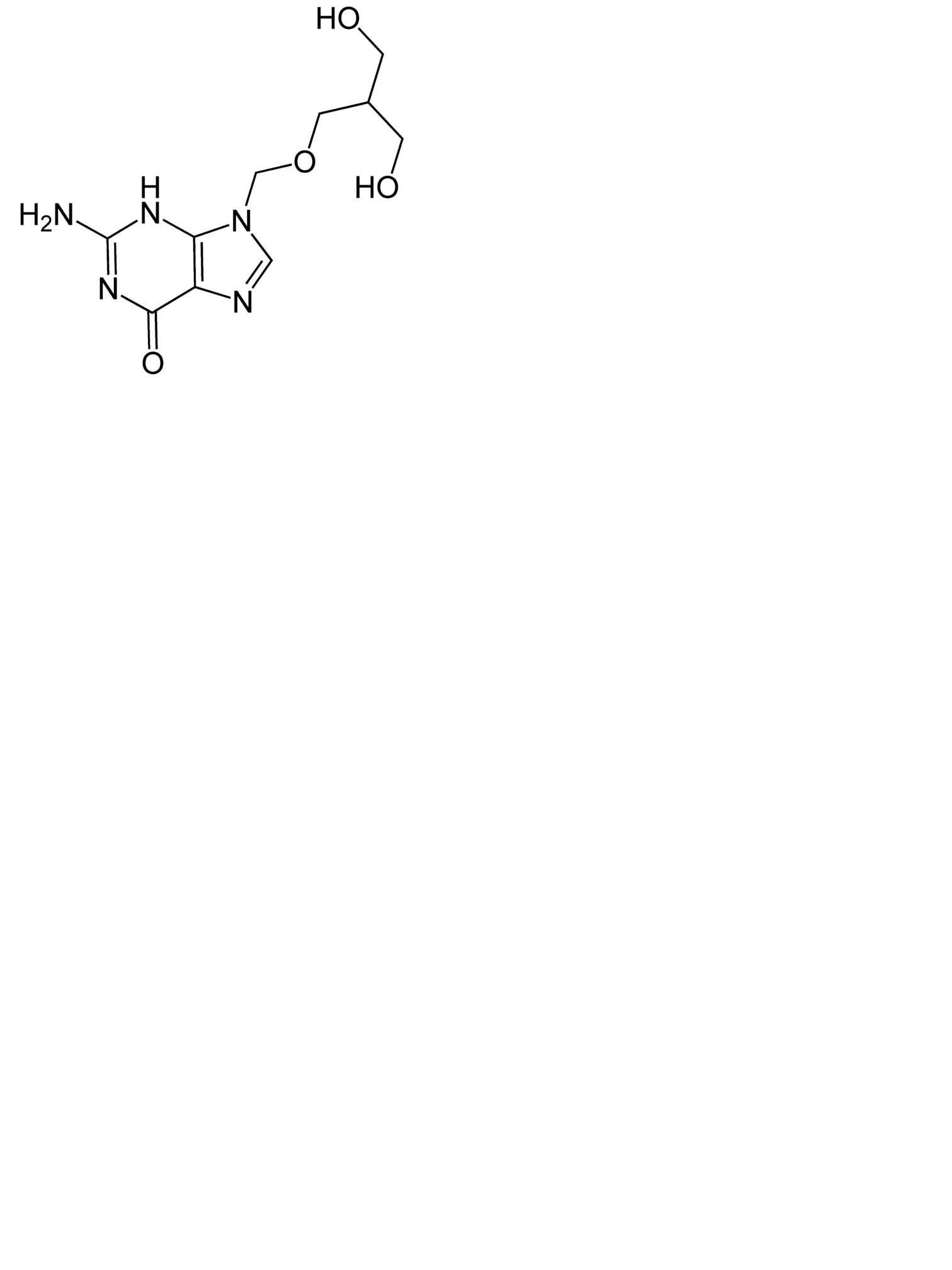
   estrutura química  

solução oftálmica

Factores que afectam a sua estabilidade   solução oftálmica   Factores que afectam a sua estabilidade : Ganciclovir        
Ausência de dados

  Mentions Légales