Cập nhật lần cuối :
27/04/2026
Khác   Quetiapine fumarate  
Dung dịch uống
Tính ổn định của các chế phẩm Độ ổn định khi trộn lẫn Những yếu tố ảnh hưởng đến độ ổn định Khả năng tương thích Tài liệu tham khảo Pdf
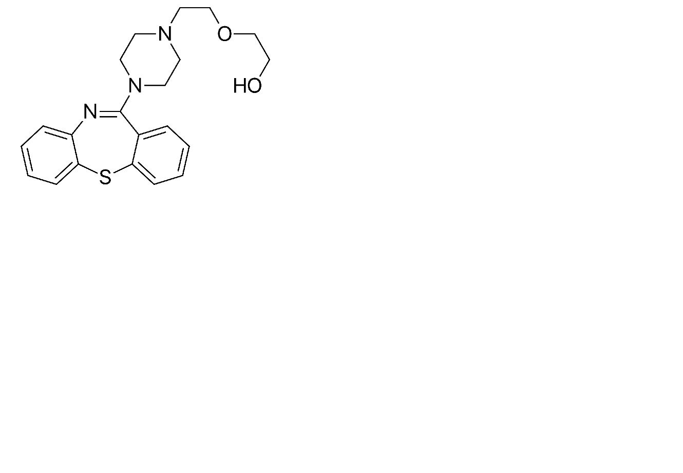
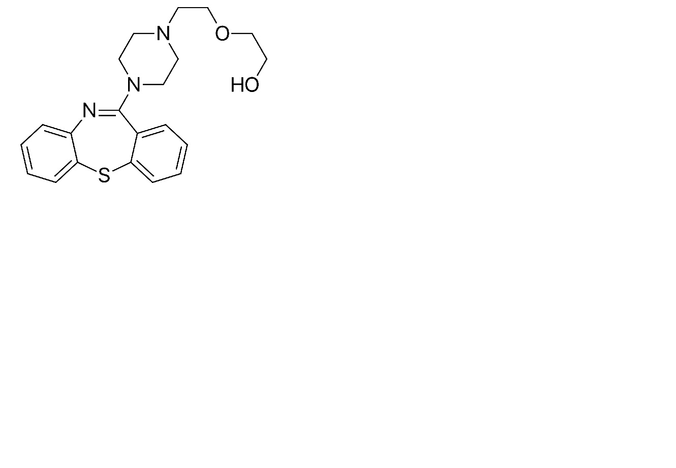
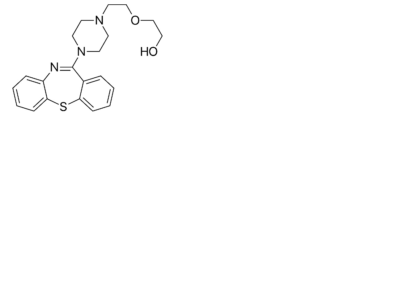
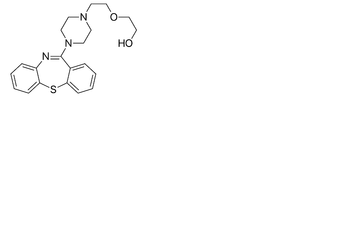
   Cấu trúc hóa học  

Dung dịch uống
Tính ổn định của các chế phẩm   Dung dịch uống   Tính ổn định của các chế phẩm : Quetiapine fumarate     
Bao bì Nguyên bản Tá dược Nhiệt độ Bảo quản Thời gian ổn định Mục lục
Lọ nhựa Các viên nén 400 mg
Alkem®
Orablend® >> 40 mL
22°C Tránh ánh sáng
60 Ngày
4609

Lọ nhựa Các viên nén 400 mg
Alkem®
Orablend® >> 40 mL
2°C Tránh ánh sáng
60 Ngày
4609


  Mentions Légales