Laatste update :
18/03/2026
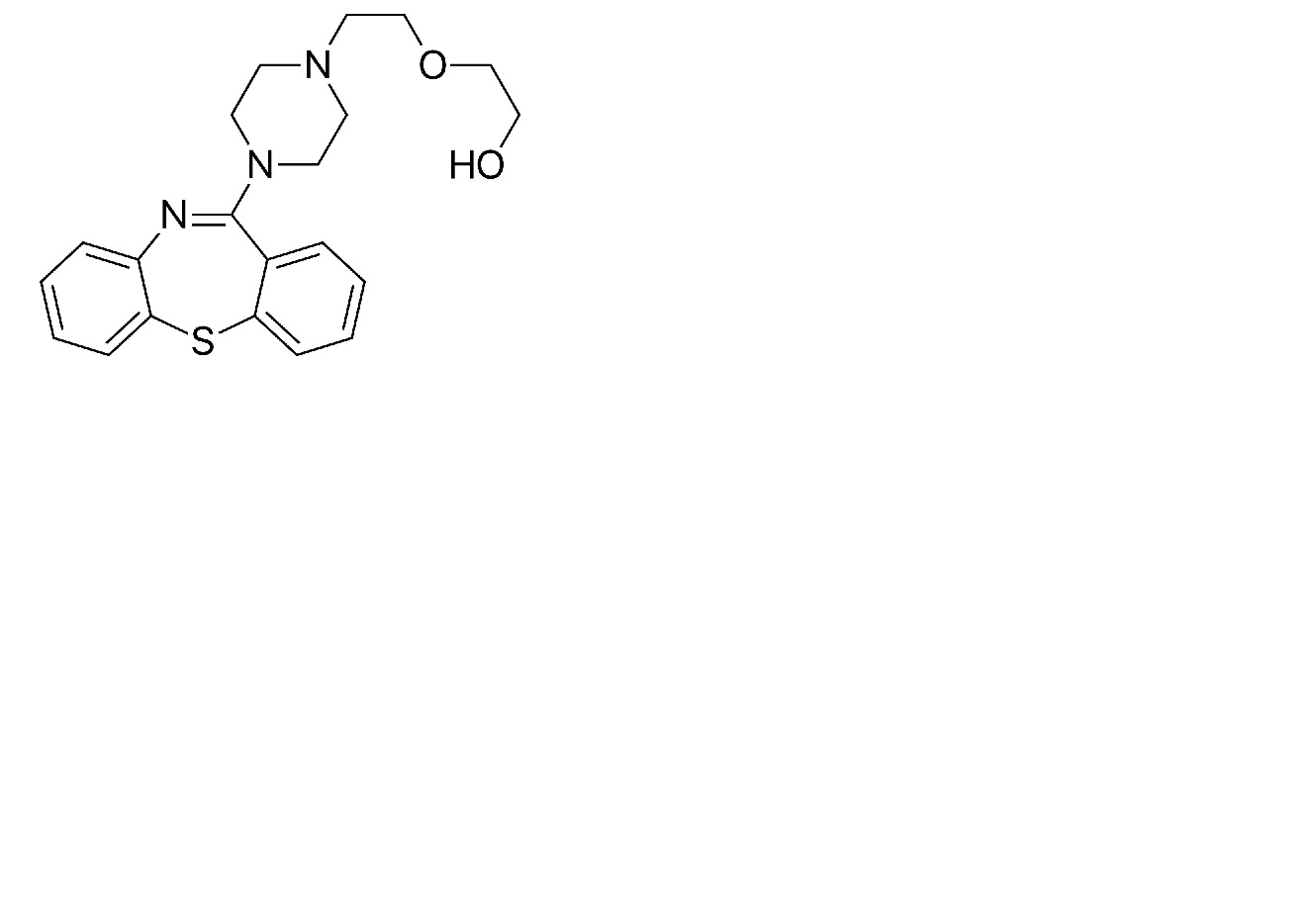
Diverse   Quetiapine fumarate  
Orale Oplossing
Stabiliteit van farmaceutische preparaten Stabiliteit in mengsels Factoren die de stabiliteit beïnvloeden Verenigbaarheden Literatuur pdf
   Molecuulstructuur  

Orale Oplossing
Stabiliteit van farmaceutische preparaten   Orale Oplossing   Stabiliteit van farmaceutische preparaten : Quetiapine fumarate     
Verpakking Origine  ikˈsipēənt hulpstof Temperatuur Bewaring Duur van de stabiliteit Literatuur
plastic fles tabletten 400 mg
Alkem®
Orablend® >> 40 mL
22°C Buiten invloed van licht
60 Dag
4609

plastic fles tabletten 400 mg
Alkem®
Orablend® >> 40 mL
2°C Buiten invloed van licht
60 Dag
4609


  Mentions Légales