zadnja posodobitev :
27/04/2026
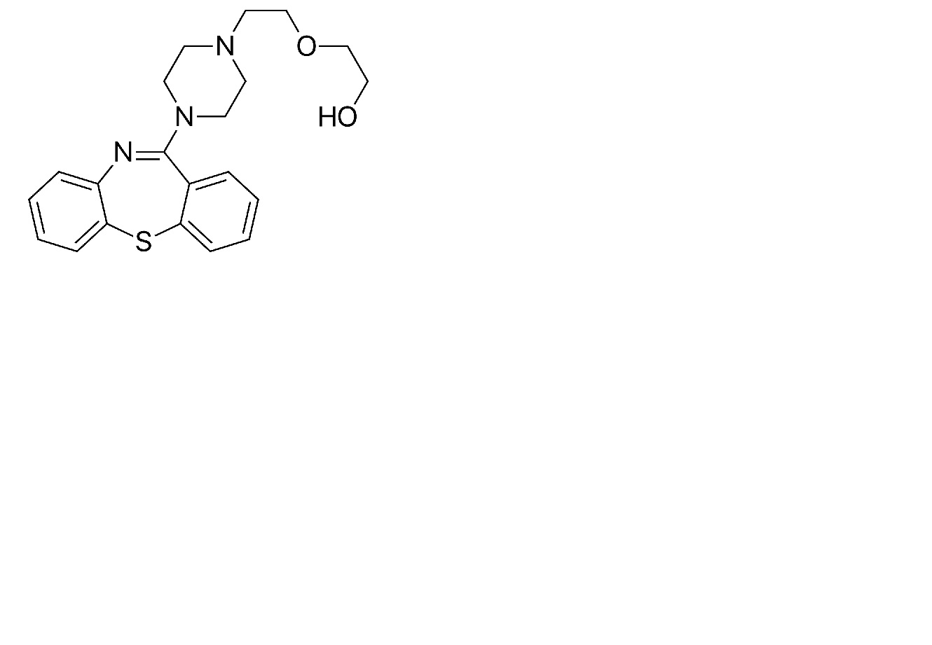
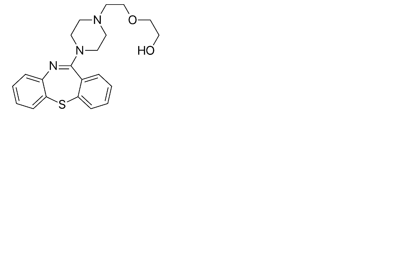
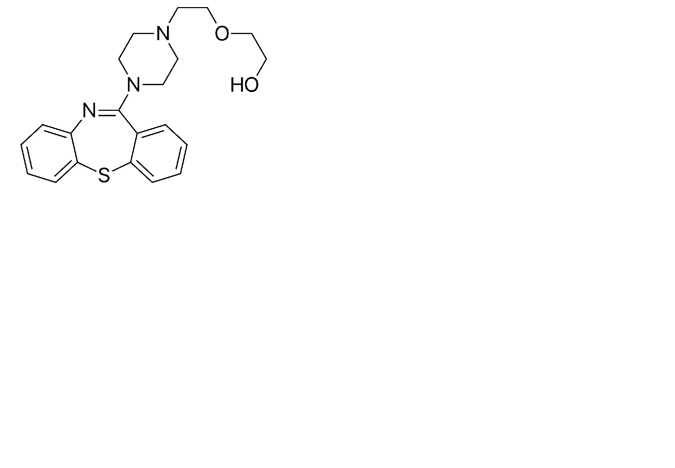
Različen   Quetiapine fumarate  
Peroralna raztopina
Stabilnost farmacevtskih preparatov Stabilnost mešanice Faktorji, ki vplivajo na stabilnost Kompatibilnost Viri pdf
   Kemična formula  

Peroralna raztopina
Stabilnost farmacevtskih preparatov   Peroralna raztopina   Stabilnost farmacevtskih preparatov : Quetiapine fumarate     
Vsebnik Origine Ekscipient Temperatura Shranjevanje Trajanje stabilnosti Viri
Plastenka Tablete 400 mg
Alkem®
Orablend® >> 40 mL
22°C Zaščiteno pred svetlobo
60 Dan
4609

Plastenka Tablete 400 mg
Alkem®
Orablend® >> 40 mL
2°C Zaščiteno pred svetlobo
60 Dan
4609


  Mentions Légales