Poslední aktualizace :
27/01/2026
Infostab
Junginių sąrašas
Sąrašai
Ieškoti suderinamumo
Y formos suderinamumo lentelė
Bibliografija
Mokslinių tyrimų Komandos
valistab
plakatas
Jungtys
rėmėjai
Autorius
Naudojimo instrukcija
Biuletenį
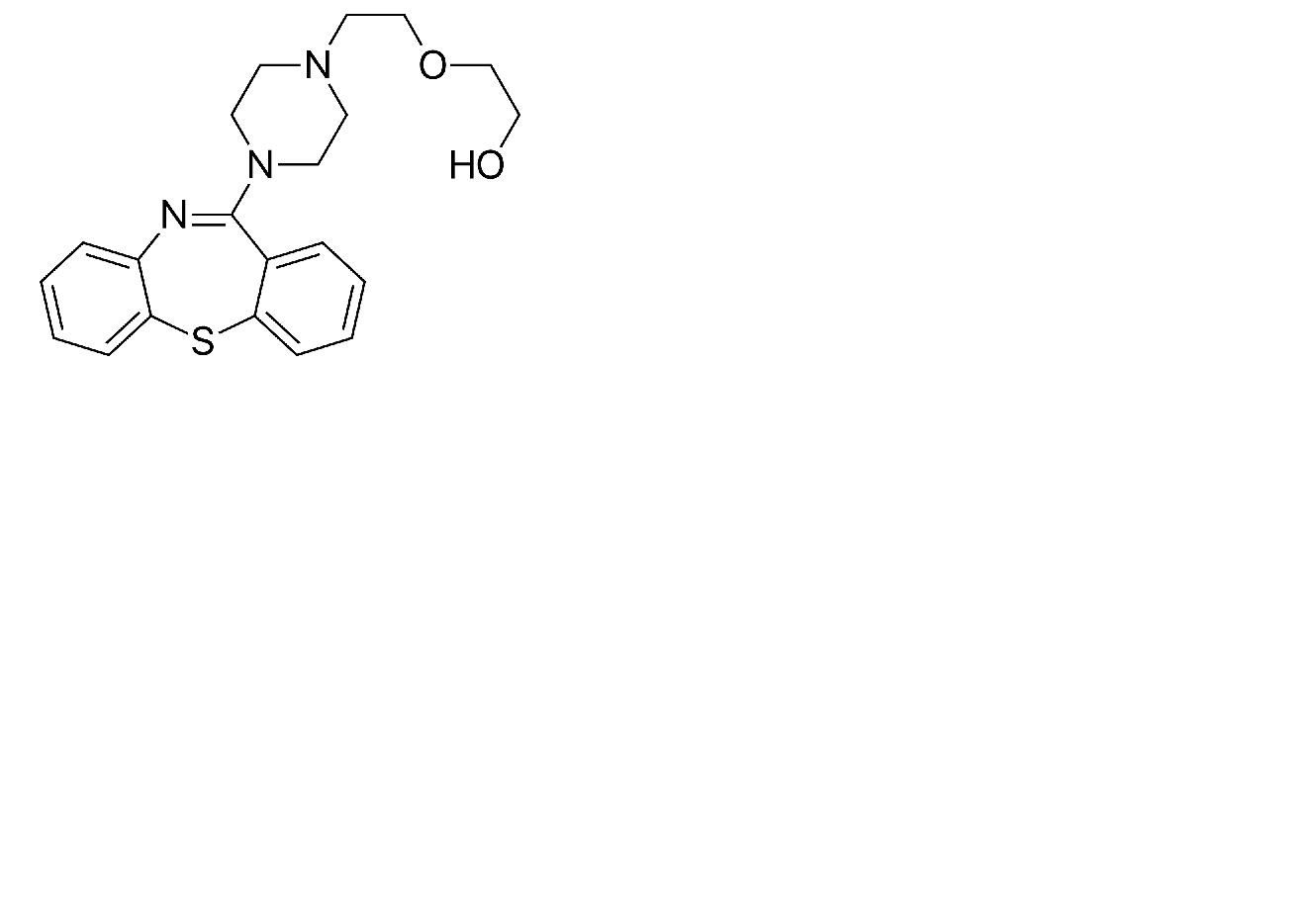
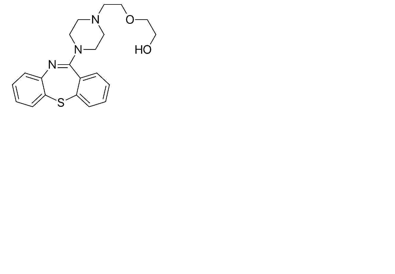
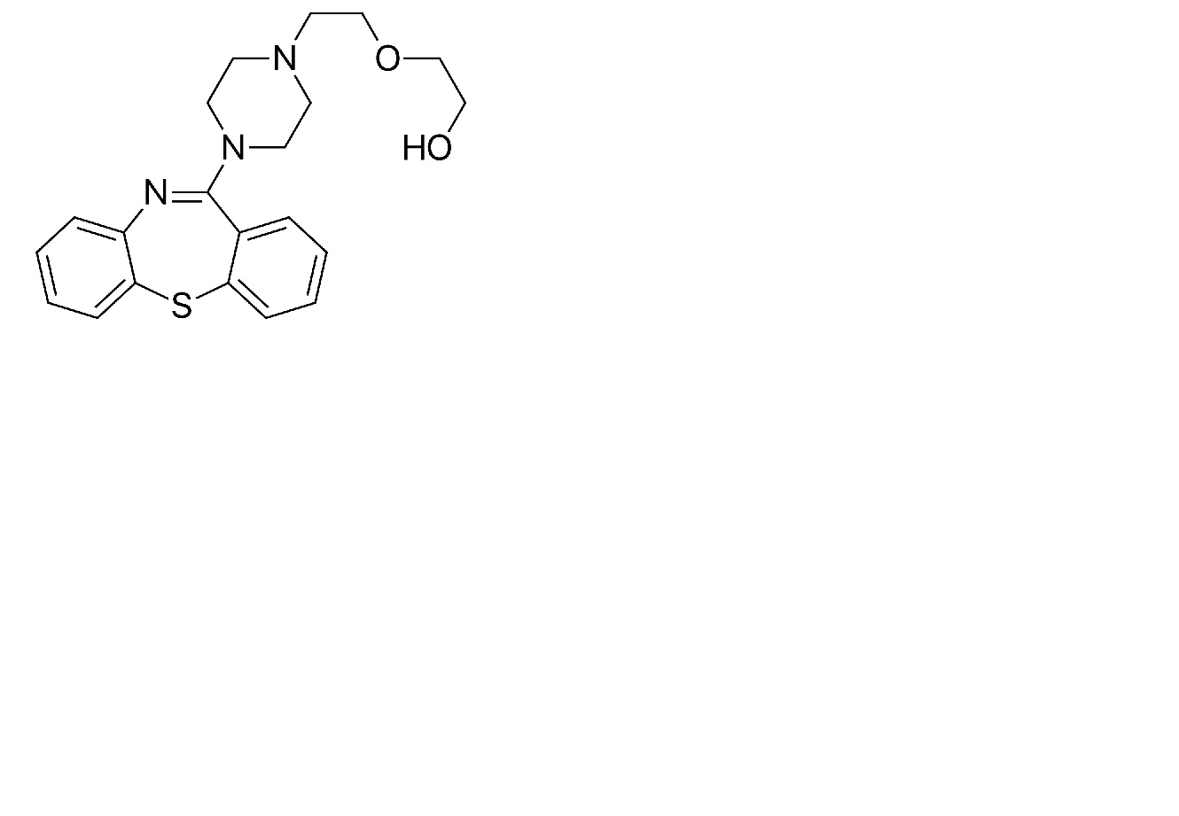
Quetiapine fumarate
Cheminė sandara
Stabilumas farmacinių preparatų : Quetiapine fumarate
400 mg
Alkem®
Orablend®
>> 40 mL
22°C
60
4609
400 mg
Alkem®
Orablend®
>> 40 mL
2°C
60
4609
Mentions Légales