Viimeisin päivitys :
18/03/2026
Infostab
Luettelo yhdisteistä
Yhteenveto-luettelot
Etsi yhteensopivuutta
Y-sivuston yhteensopivuustaulukko
Viitteet
tutkimus Joukkueet
valistab
ilmoitus
Liitännät
sponsorit
Tekijät
Käyttöohje
Uutiskirje
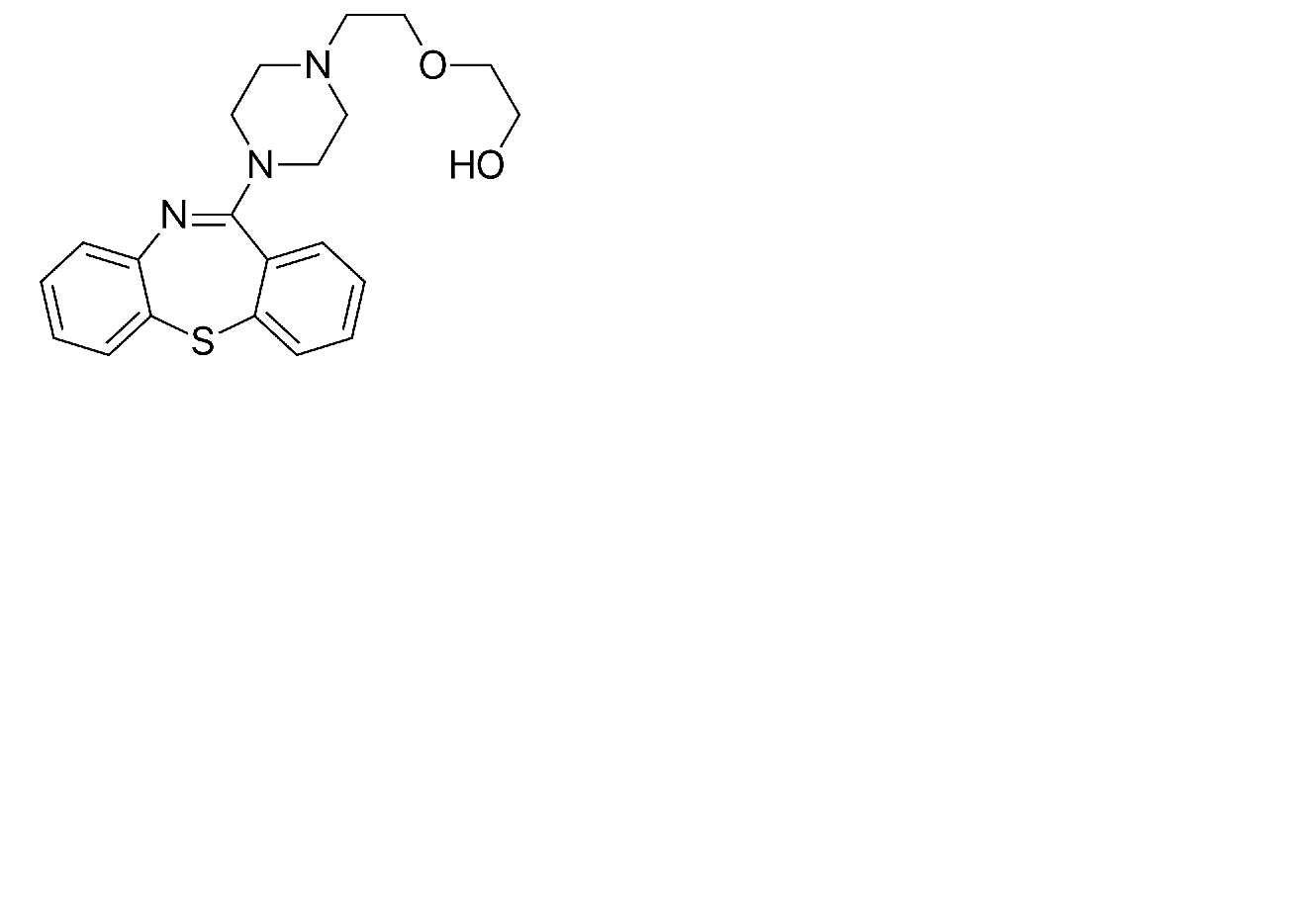
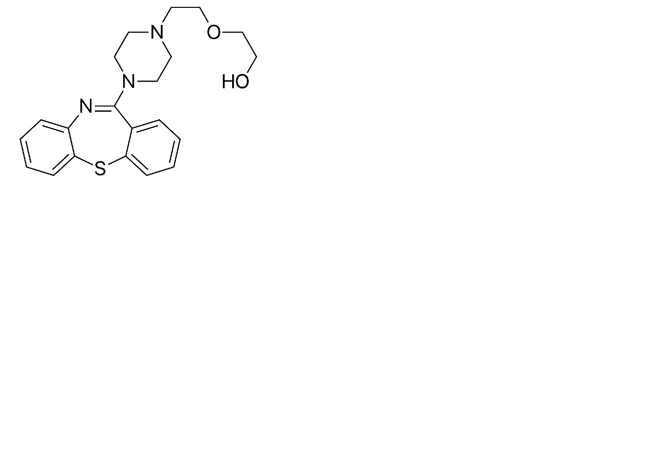
Quetiapine fumarate
Kemiallinen rakenne
Vakaus lääkevalmisteen : Quetiapine fumarate
400 mg
Alkem®
Orablend®
>> 40 mL
22°C
60
4609
400 mg
Alkem®
Orablend®
>> 40 mL
2°C
60
4609
Mentions Légales