Останнє оновлення :
27/04/2026
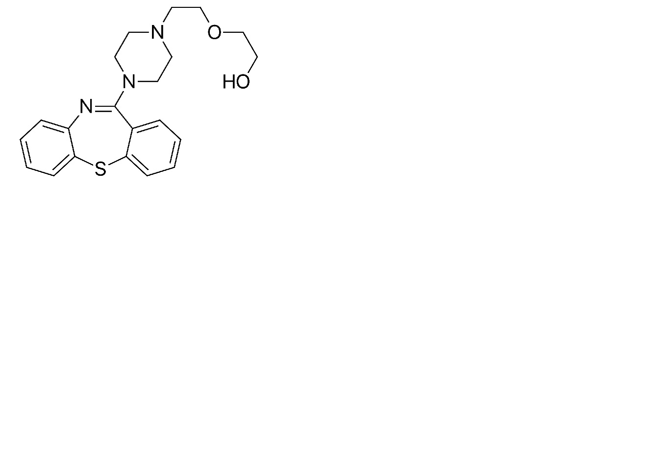
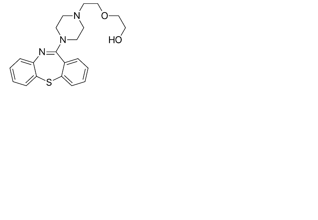
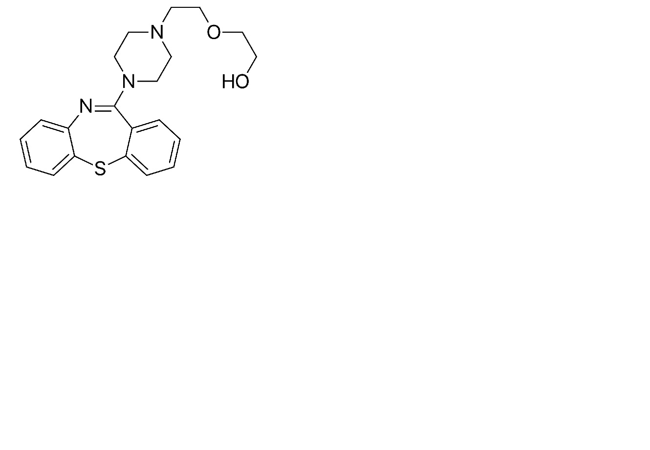
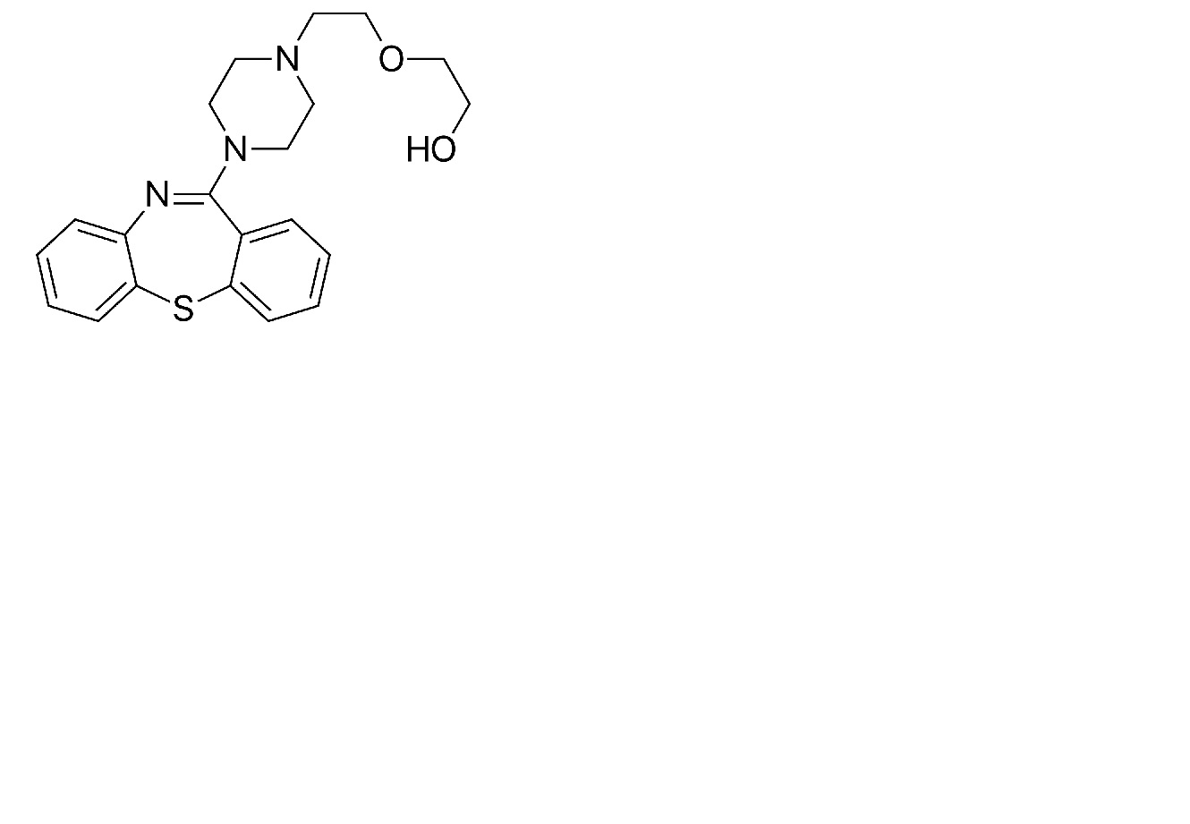
різноманітні   Quetiapine fumarate  
Розчин для перорального застосування
Стабільність фармацевтичних препаратів Стійкість сумішей Фактори, що впливають на стабільність Сумісність Список літератури pdf
   Хімічна структура  

Розчин для перорального застосування
Стабільність фармацевтичних препаратів   Розчин для перорального застосування   Стабільність фармацевтичних препаратів : Quetiapine fumarate     
Контейнер Origine допоміжна речовина температура Зберігання Тривалість стабільності Список літератури
пластикова пляшка таблетки 400 mg
Alkem®
Orablend® >> 40 mL
22°C Берегти від світла
60 День
4609

пластикова пляшка таблетки 400 mg
Alkem®
Orablend® >> 40 mL
2°C Берегти від світла
60 День
4609


  Mentions Légales