Seneste opdatering :
18/03/2026
Infostab
Lister
Bversigter
Søg efter kompatibilitet
Y-site kompatibilitetstabel
Bibliografi
forskerhold
valistab
Poster
Links
sponsorer
Forfatter
Brugervejledning
Nyhedsbrev
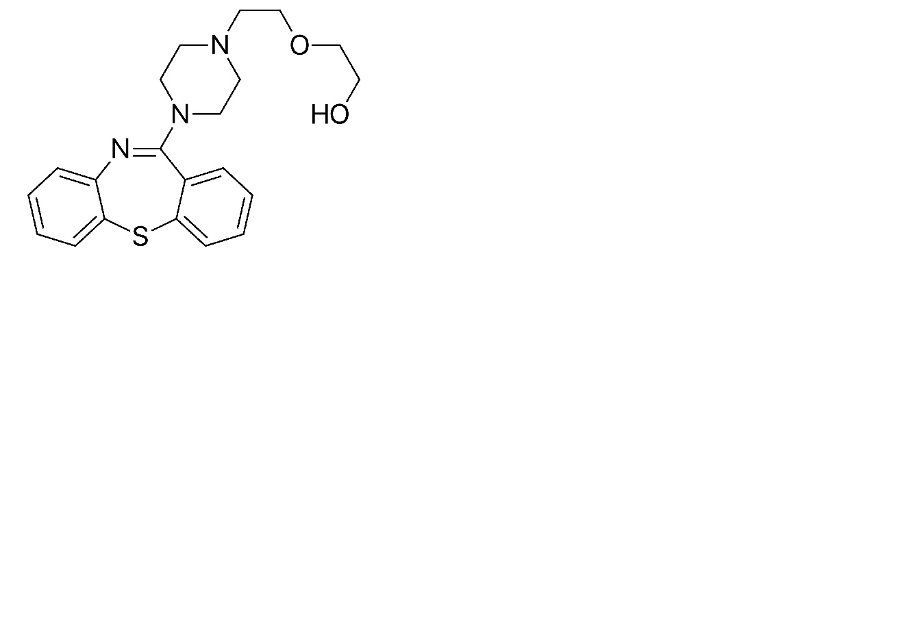
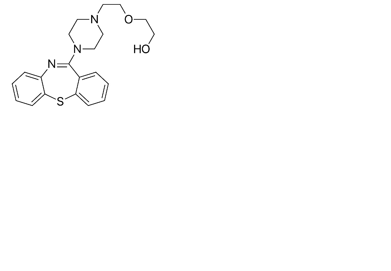
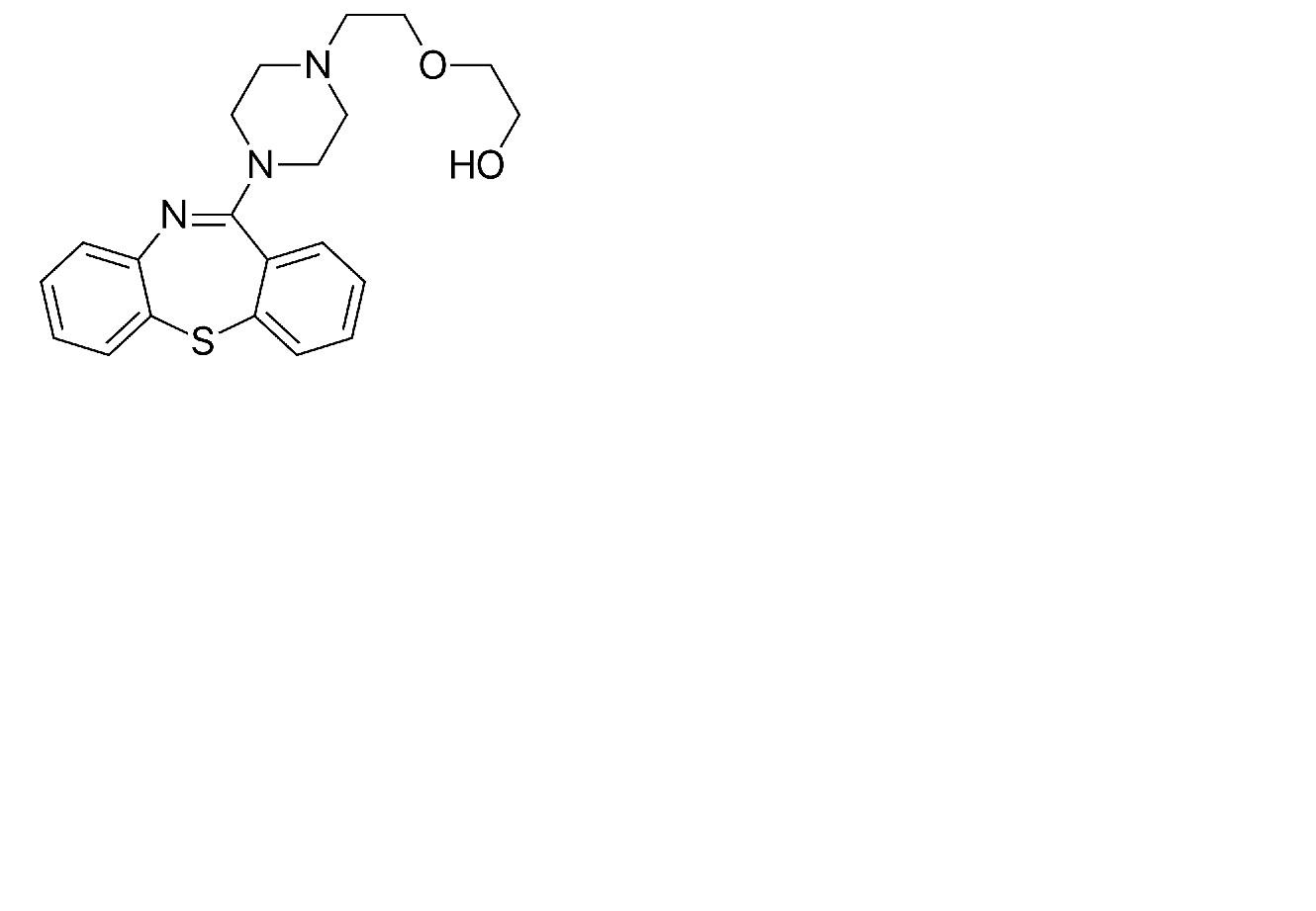
Quetiapine fumarate
Kemisk struktur
Stabilitet af farmaceutiske tilberedninger : Quetiapine fumarate
400 mg
Alkem®
Orablend®
>> 40 mL
22°C
60
4609
400 mg
Alkem®
Orablend®
>> 40 mL
2°C
60
4609
Mentions Légales