Последнее обновление :
27/01/2026
Infostab
Списки
Списки
Поиск совместимостей
Таблица совместимостей в Y-соединении систем
Библиография
Исследовательские группы
valistab
плакат
связи
спонсоры
Автор
Инструкция по эксплуатации
Информационый бюллетень
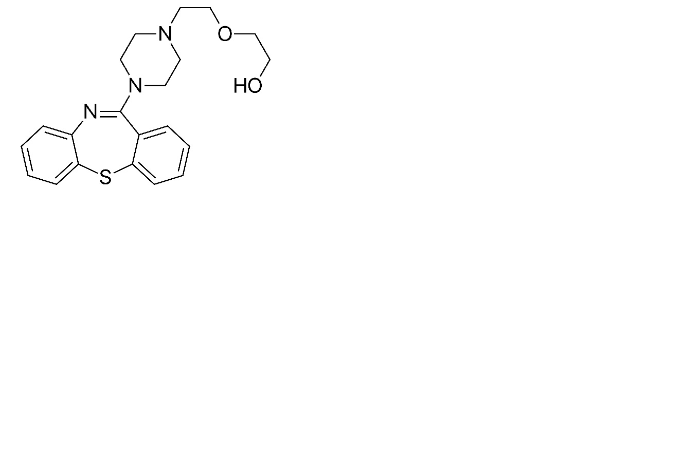
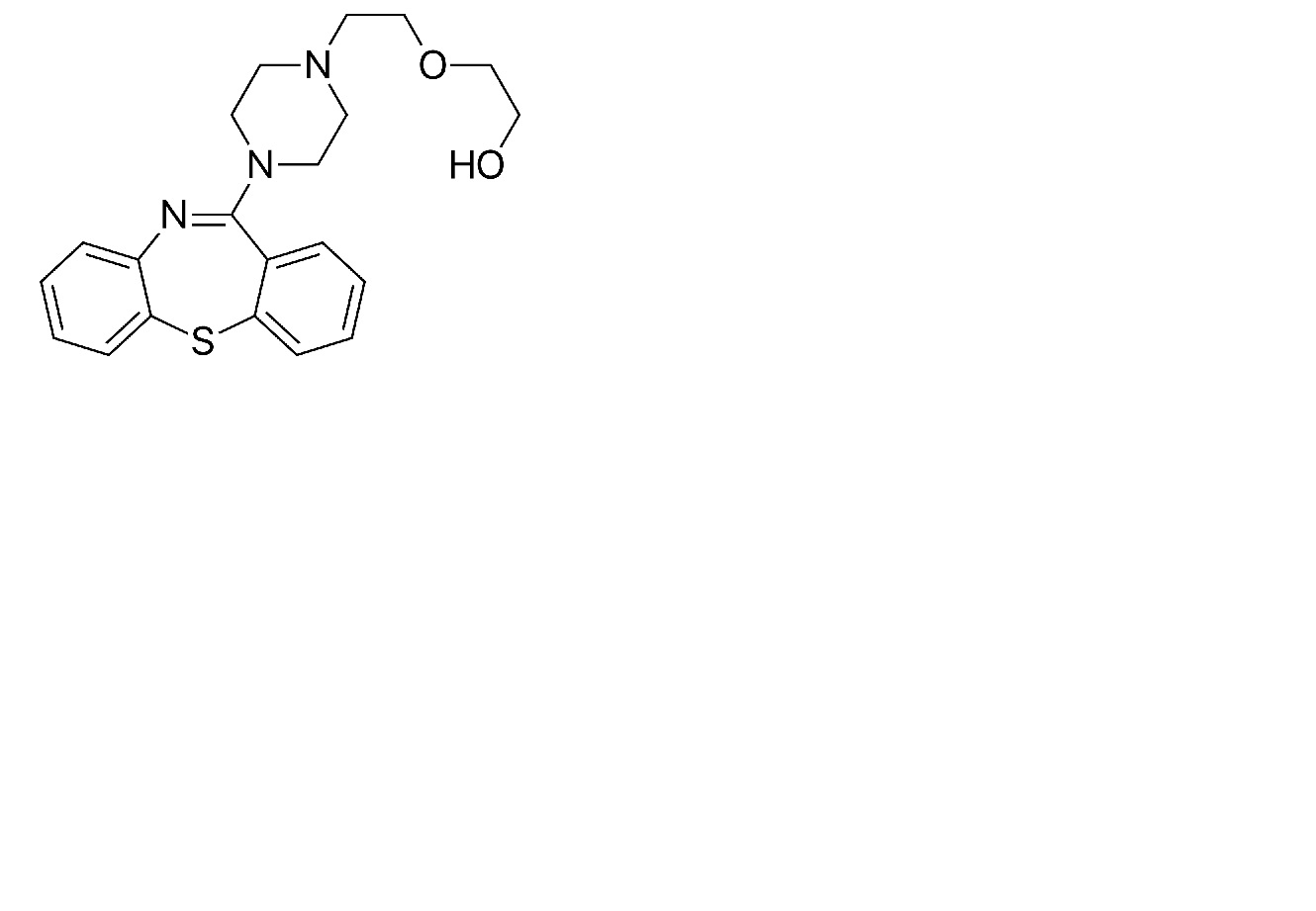
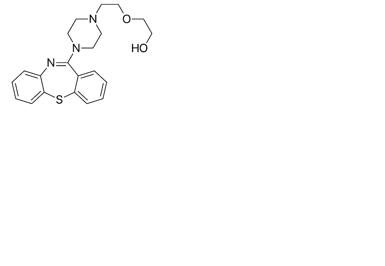
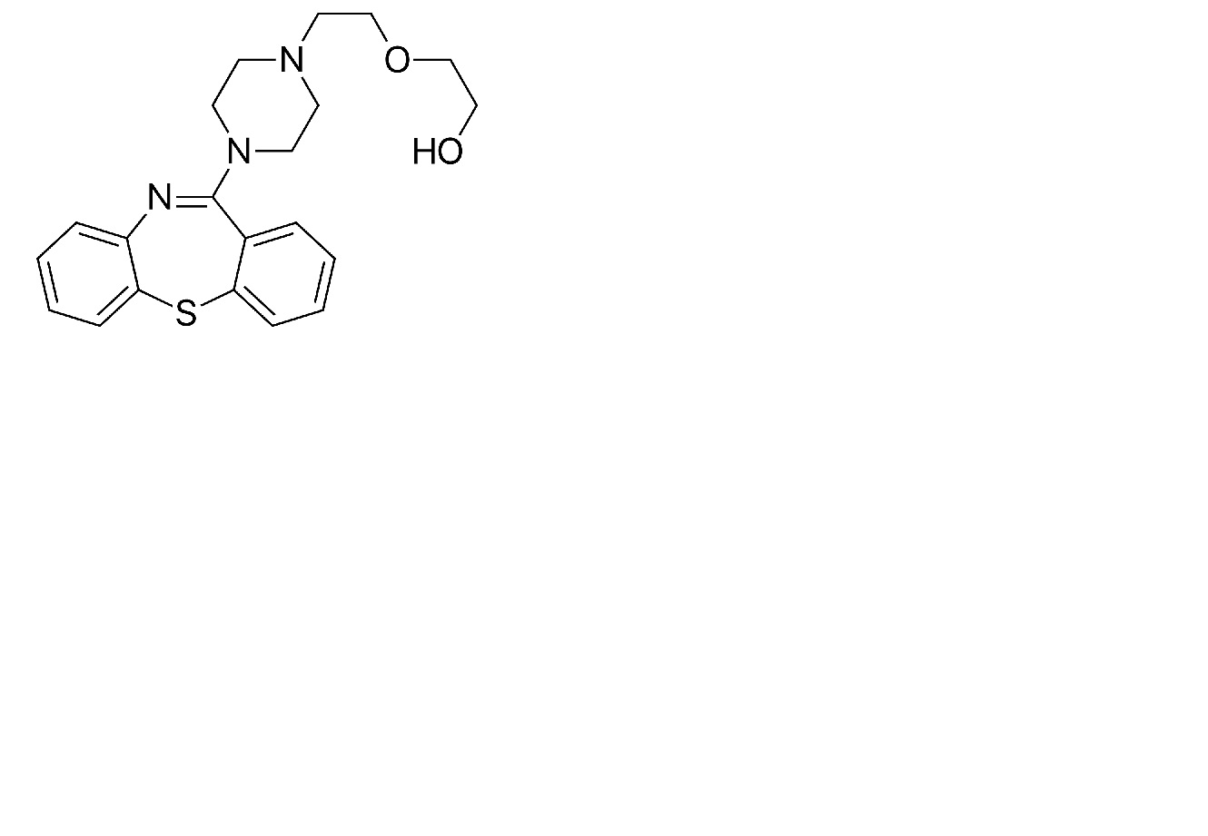
Quetiapine fumarate
Химическая структура
Стабильность фармацевтических препаратов : Quetiapine fumarate
400 mg
Alkem®
Orablend®
>> 40 mL
22°C
60
4609
400 mg
Alkem®
Orablend®
>> 40 mL
2°C
60
4609
Mentions Légales