Son güncelleme :
18/03/2026
Çeşitli   Quetiapine fumarate  
Oral solüsyon / oral çözelti
Farmasötik preparatlar Kararlılığı Karışımlardaki stabilitesi Stabiliteyi etkileyen faktörler Uyumluluk Kaynaklar pdf
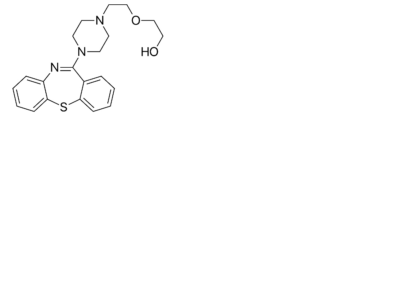
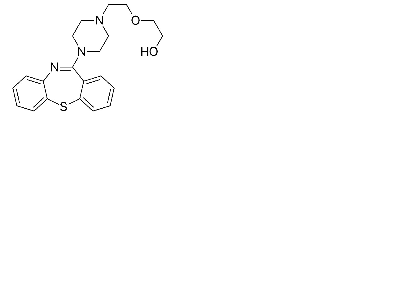
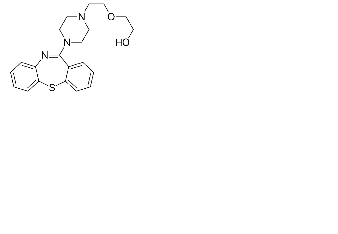
   Kimyasal yapı   

Oral solüsyon / oral çözelti
Farmasötik preparatlar Kararlılığı   Oral solüsyon / oral çözelti   Farmasötik preparatlar Kararlılığı : Quetiapine fumarate     
Saklama kabı Origine yardımcı madde Isı Saklama    Stabilite süresi Kaynaklar
Plastik şişe Tabletler 400 mg
Alkem®
Orablend® >> 40 mL
22°C Işıktan koruyunuz
60 Gün
4609

Plastik şişe Tabletler 400 mg
Alkem®
Orablend® >> 40 mL
2°C Işıktan koruyunuz
60 Gün
4609


  Mentions Légales