Letztes “update” :
27/01/2026
Verschiedenes   Quetiapine fumarate  
Lösung zum Einnehmen
Stabilität von pharmazeutischen Präparaten Gemengestabilität Stabilitätbeeinflussende Faktoren Kompatibilitäten Literaturverzeichnis pdf
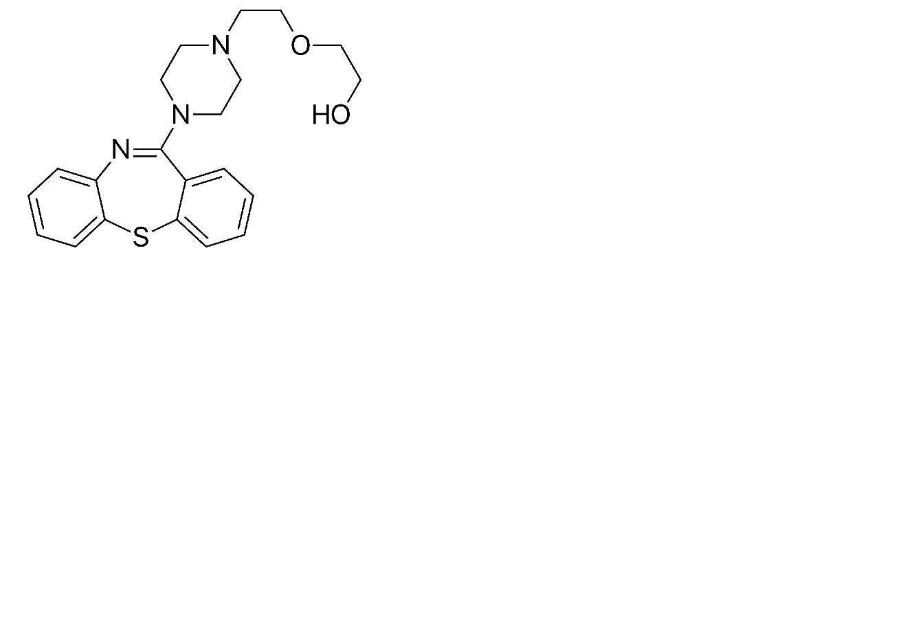
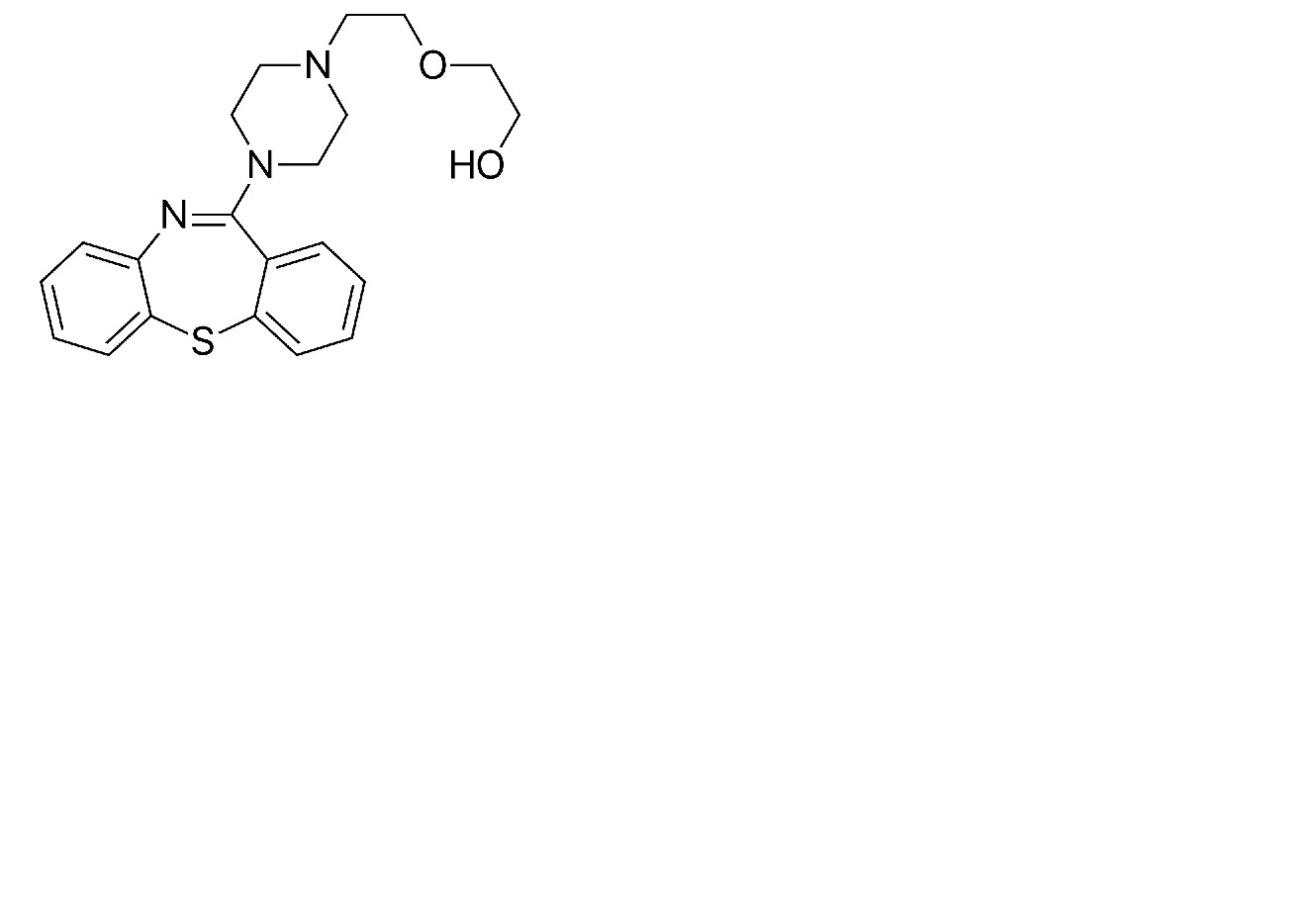
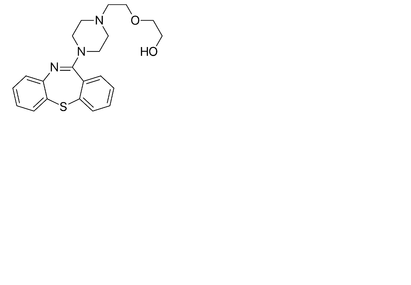
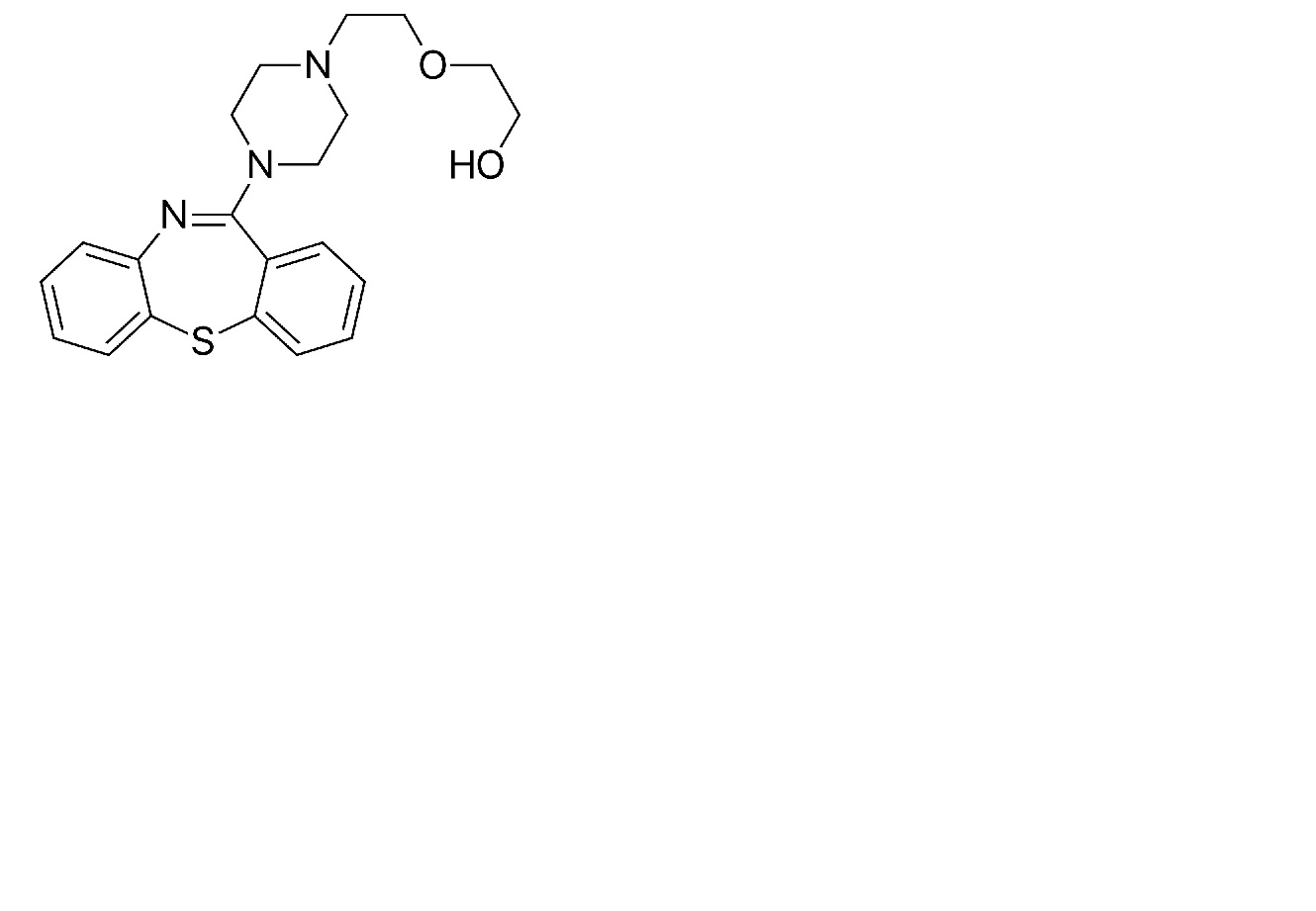
   Chemische Struktur  

Lösung zum Einnehmen
Stabilität von pharmazeutischen Präparaten   Lösung zum Einnehmen   Stabilität von pharmazeutischen Präparaten : Quetiapine fumarate     
Behälter Origine Hilfsstoff Temperatur Konservierung Dauer der Stabilität Literaturverzeichnis
Plastikflasche Tabletten 400 mg
Alkem®
Orablend® >> 40 mL
22°C Ohne Licht
60 Tag
4609

Plastikflasche Tabletten 400 mg
Alkem®
Orablend® >> 40 mL
2°C Ohne Licht
60 Tag
4609


  Mentions Légales