Последно актуализиране :
27/01/2026
Други   Quetiapine fumarate  
Орален разтвор
Стабилност на лекарствени препарати Стабилност на смеси Фактори, повлияващи стабилността Съвместимост Библиография Pdf
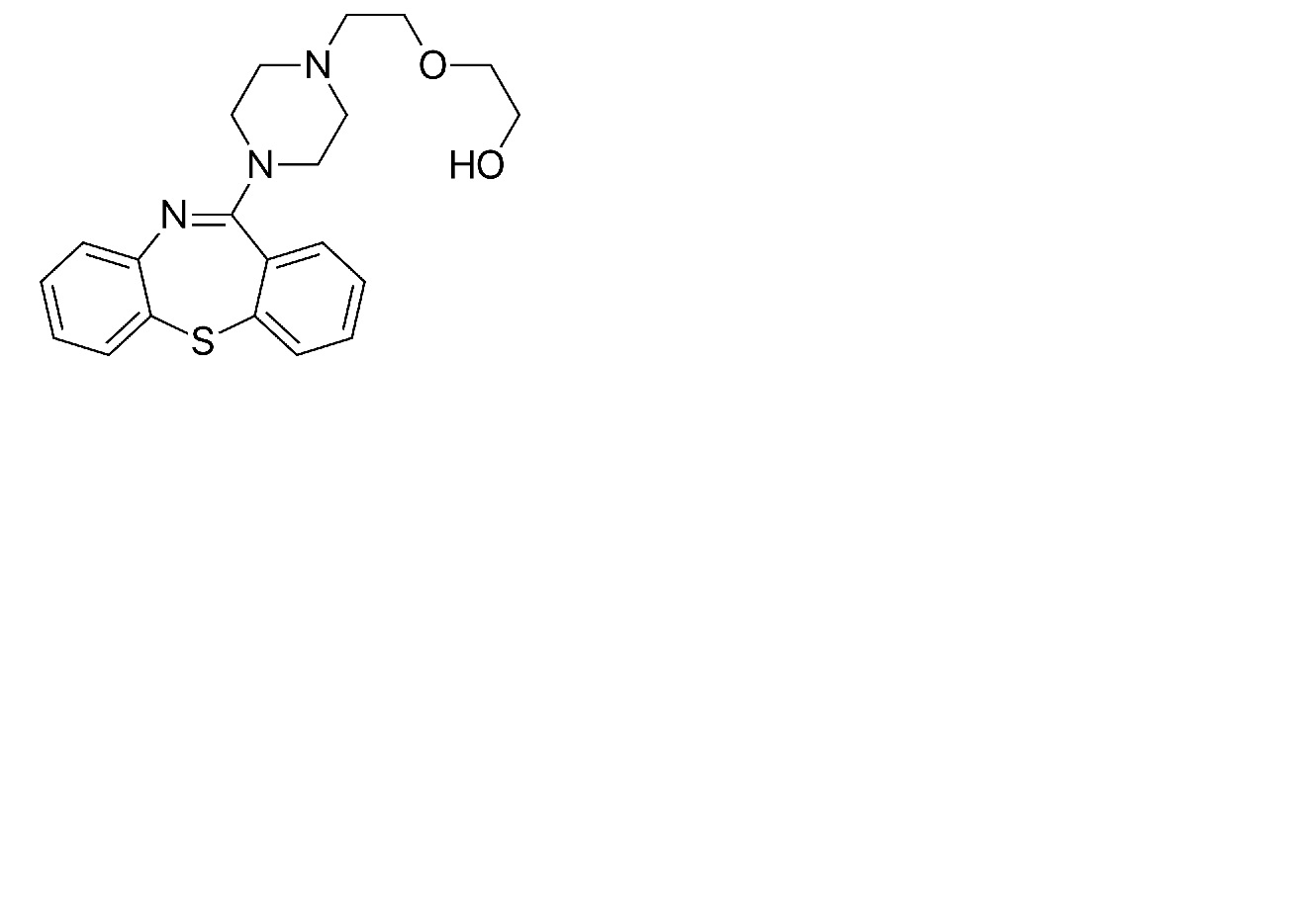
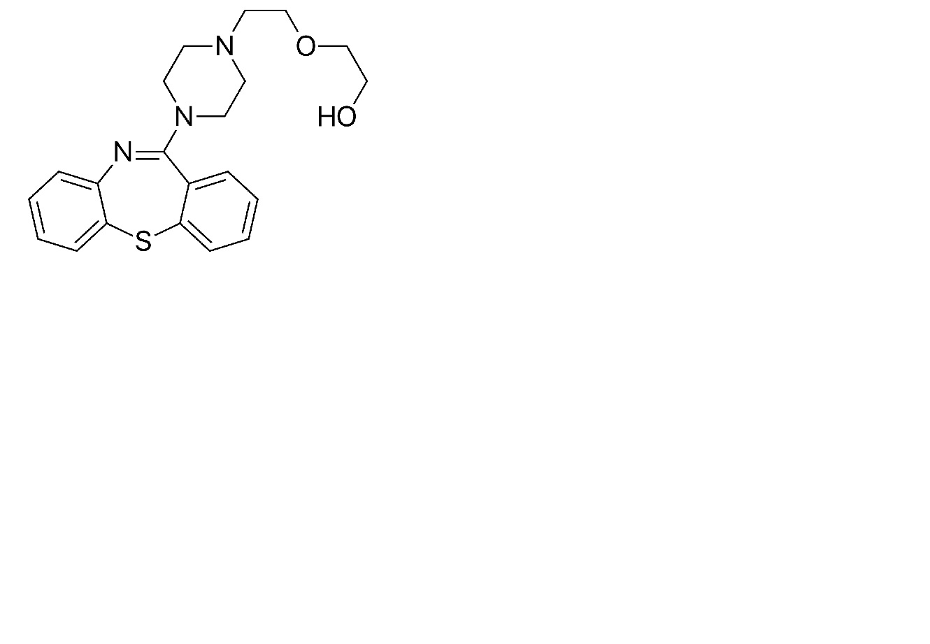
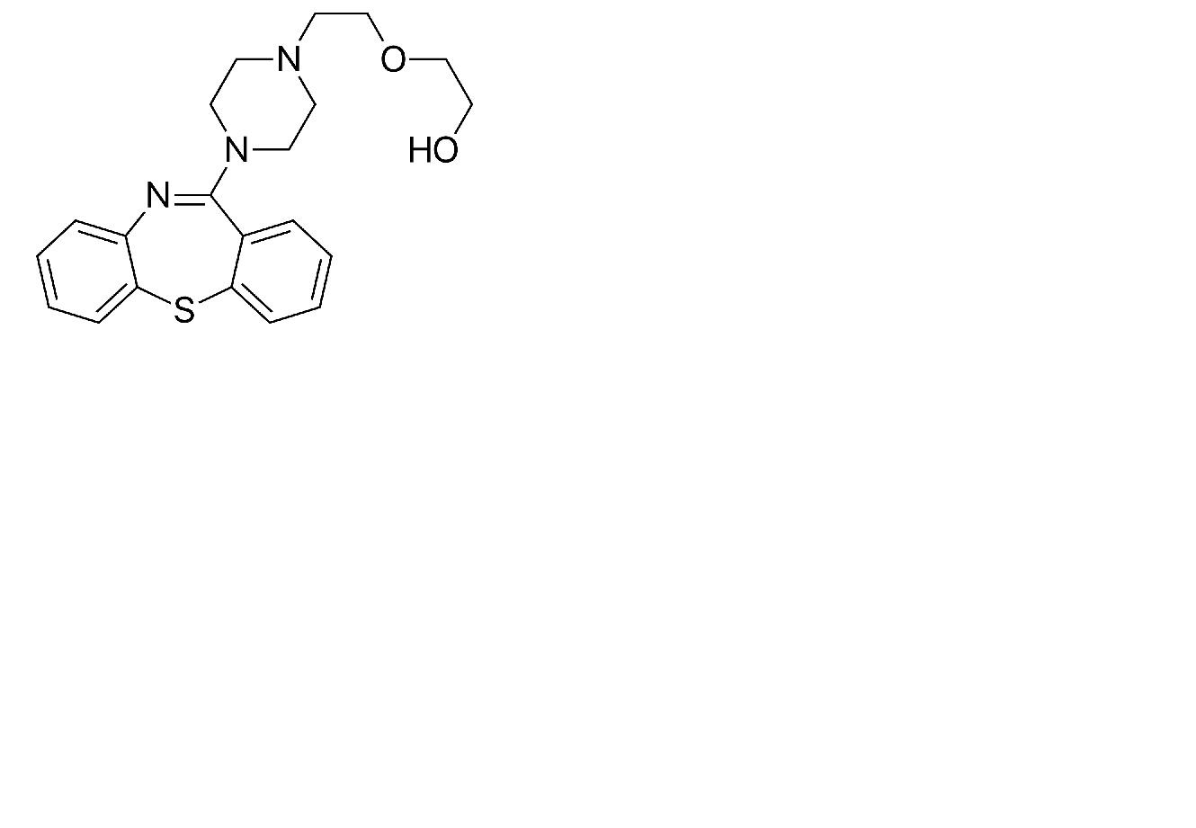
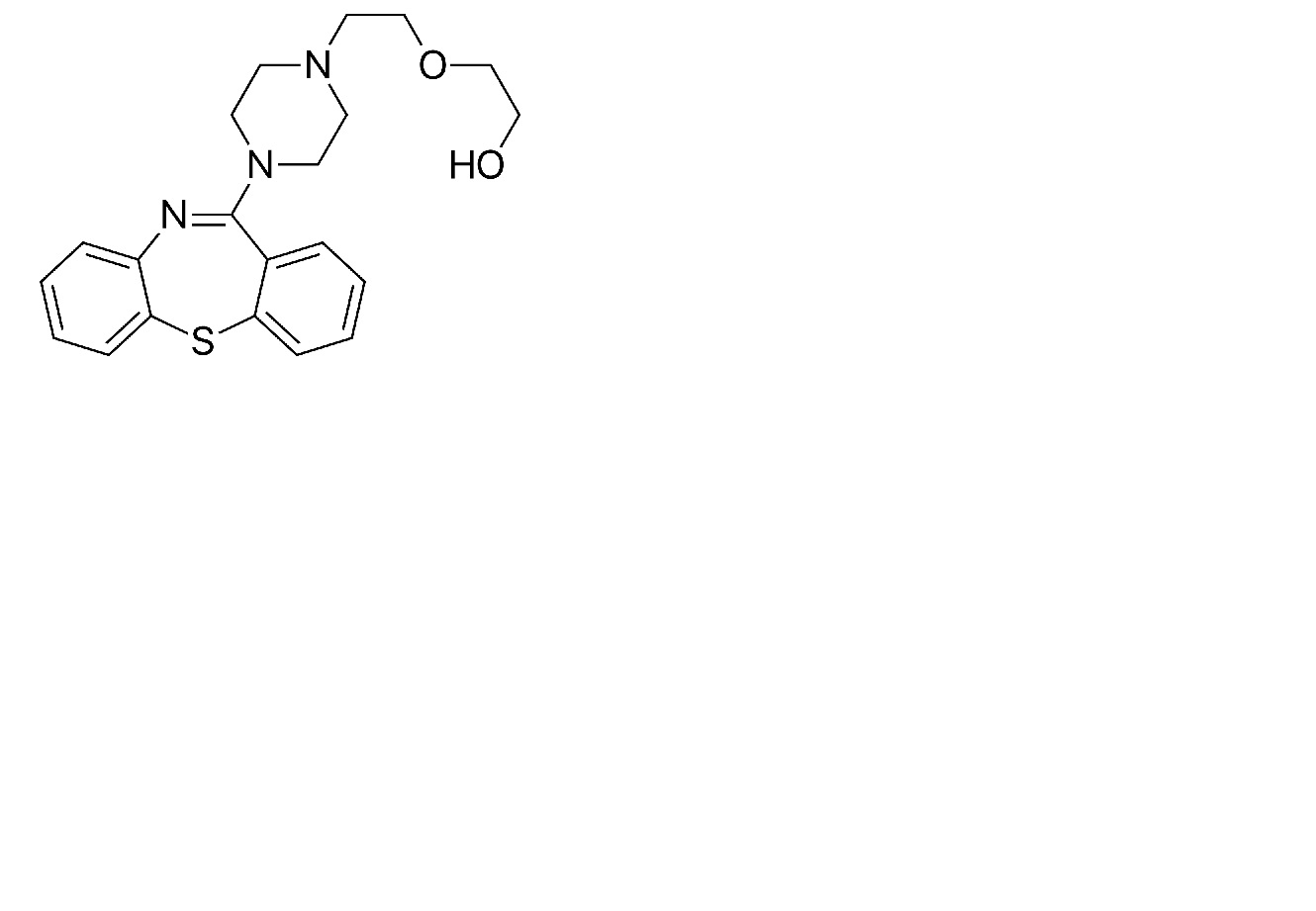
   Химична структура  

Орален разтвор
Стабилност на лекарствени препарати   Орален разтвор   Стабилност на лекарствени препарати : Quetiapine fumarate     
Контейнер Origine Помощно вещество Температура Съхранение Продължителност на стабилността Библиография
Пластмасова бутилка таблетки 400 mg
Alkem®
Орабленд® >> 40 mL
22°C Защита от светлина
60 Ден
4609

Пластмасова бутилка таблетки 400 mg
Alkem®
Орабленд® >> 40 mL
2°C Защита от светлина
60 Ден
4609


  Mentions Légales