Τελευταία ενημέρωση :
27/01/2026
Λοιπά   Quetiapine fumarate  
Πόσιμο διάλυμα
Σταθερότητα και συμβατότητα των φαρμάκων Σταθερότητα σε μίγματα Παράγοντας που επηρεάζει τη σταθερότητα Συμβατότητες Βιβλιογραφία pdf
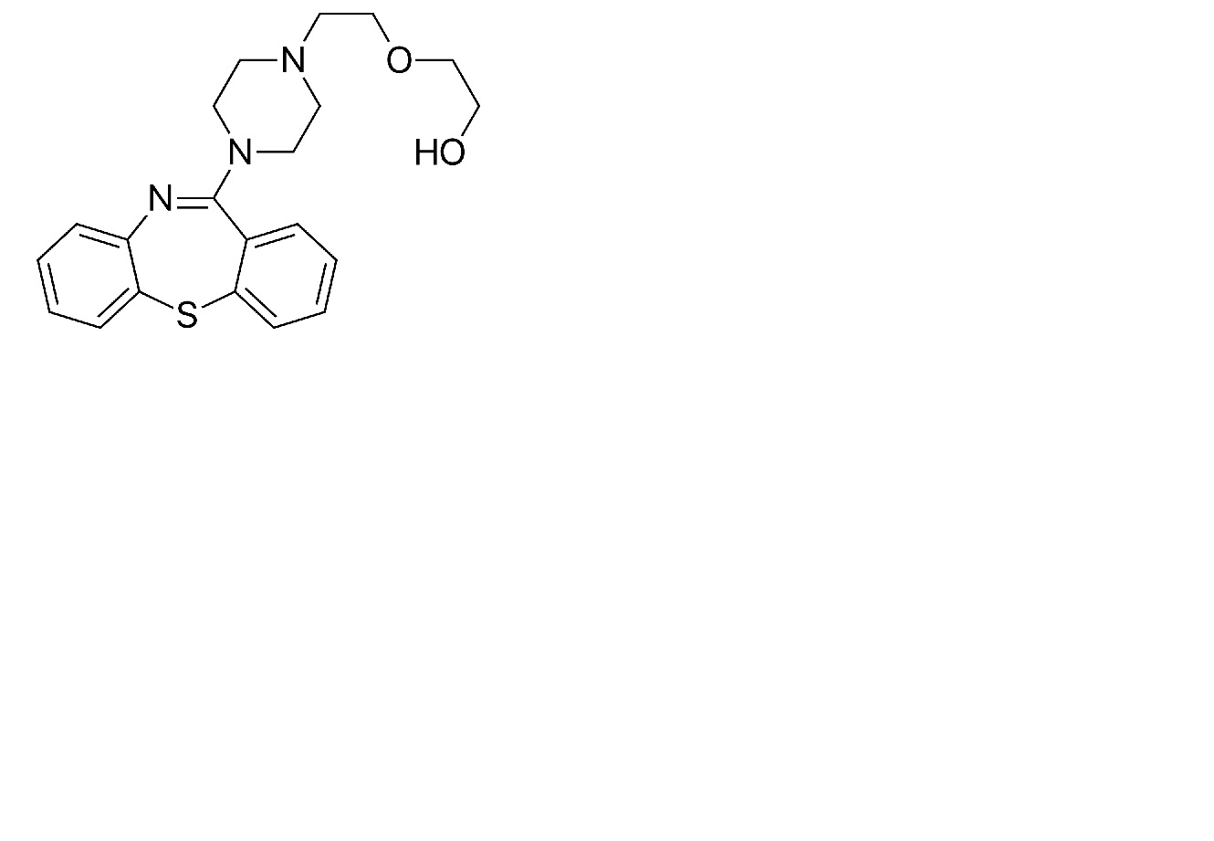
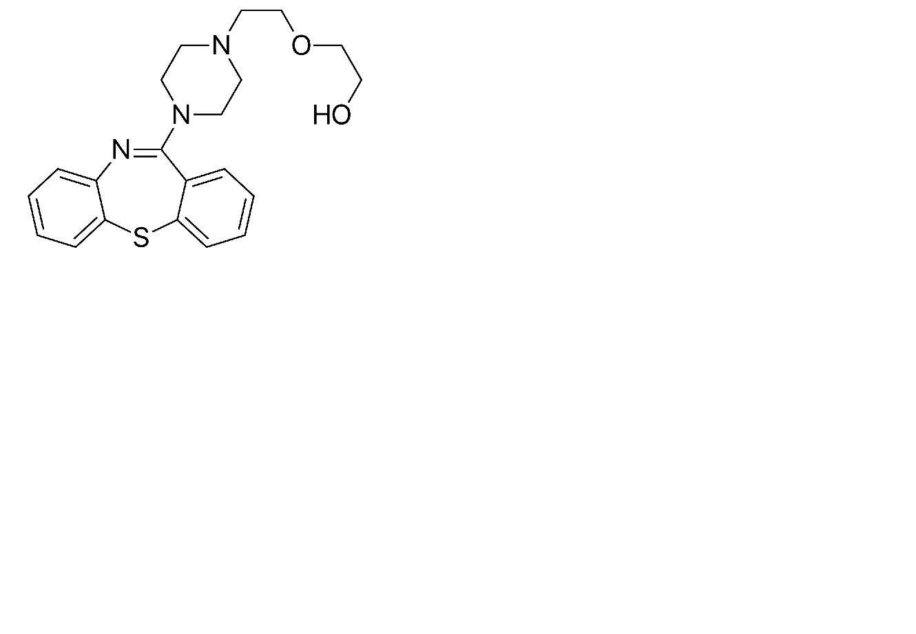
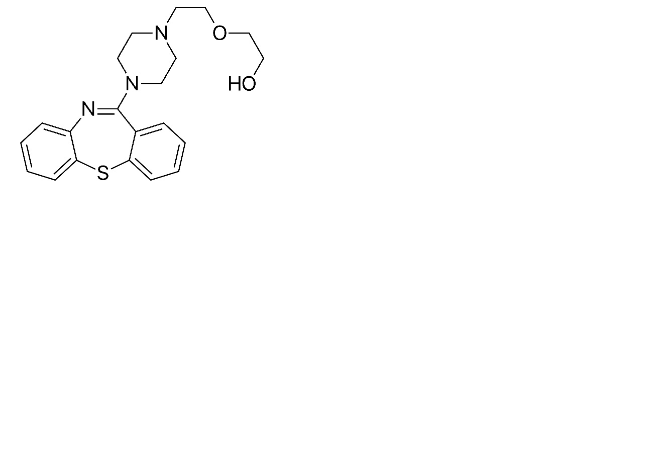
   χημική δομή  

Πόσιμο διάλυμα
Σταθερότητα και συμβατότητα των φαρμάκων   Πόσιμο διάλυμα   Σταθερότητα και συμβατότητα των φαρμάκων : Quetiapine fumarate     
Υποδοχέας Origine Έκδοχο Θερμοκρασία Αποθήκευση Διάρκεια σταθερότητας Βιβλιογραφία
Πλαστικό μπουκάλι Δισκία 400 mg
Alkem®
Orablend® >> 40 mL
22°C Προστατεύετε από το φως
60 Ημέρα
4609

Πλαστικό μπουκάλι Δισκία 400 mg
Alkem®
Orablend® >> 40 mL
2°C Προστατεύετε από το φως
60 Ημέρα
4609


  Mentions Légales