Ultimo aggiornamento :
27/01/2026
Altro   Quetiapine fumarate  
Soluzione orale
Stabilità dei preparati farmaceutici Stabilità in miscela Fattori che influenzano la stabilità Compatibilità Bibliografia pdf
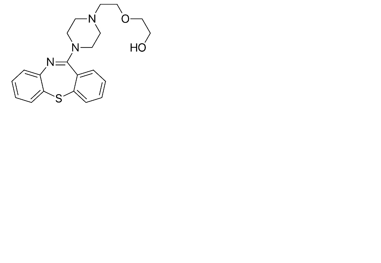
   Struttura chimica  

Soluzione orale
Stabilità dei preparati farmaceutici   Soluzione orale   Stabilità dei preparati farmaceutici : Quetiapine fumarate     
contenitore Origine eccipiente Temperatura Conservazione Durata della stabilità Bibliografia
bottiglia di plastica compresse 400 mg
Alkem®
Orablend® >> 40 mL
22°C Al riparo dalla luce
60 Giorno
4609

bottiglia di plastica compresse 400 mg
Alkem®
Orablend® >> 40 mL
2°C Al riparo dalla luce
60 Giorno
4609


  Mentions Légales