Poslední aktualizace :
27/01/2026
Įvairūs   Quetiapine fumarate  
Geriamas tirpalas
Stabilumas farmacinių preparatų Mišinių stabilumas Stabilumą lemiantys veiksniai Suderinamumas Bibliografija pdf
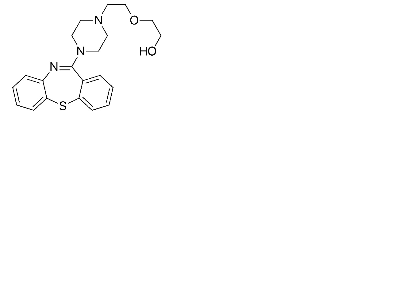
   Cheminė sandara  

Geriamas tirpalas
Stabilumas farmacinių preparatų   Geriamas tirpalas   Stabilumas farmacinių preparatų : Quetiapine fumarate     
Pakuotė Origine Ekscipientas Temperatūra Laikymas Stabilumo trukmė Nuorodos
Plastikinis butelis Tabletės 400 mg
Alkem®
Orablend® >> 40 mL
22°C Apsaugotas nuo šviesos
60 Diena
4609

Plastikinis butelis Tabletės 400 mg
Alkem®
Orablend® >> 40 mL
2°C Apsaugotas nuo šviesos
60 Diena
4609


  Mentions Légales