Pēdējā atjaunošana :
27/01/2026
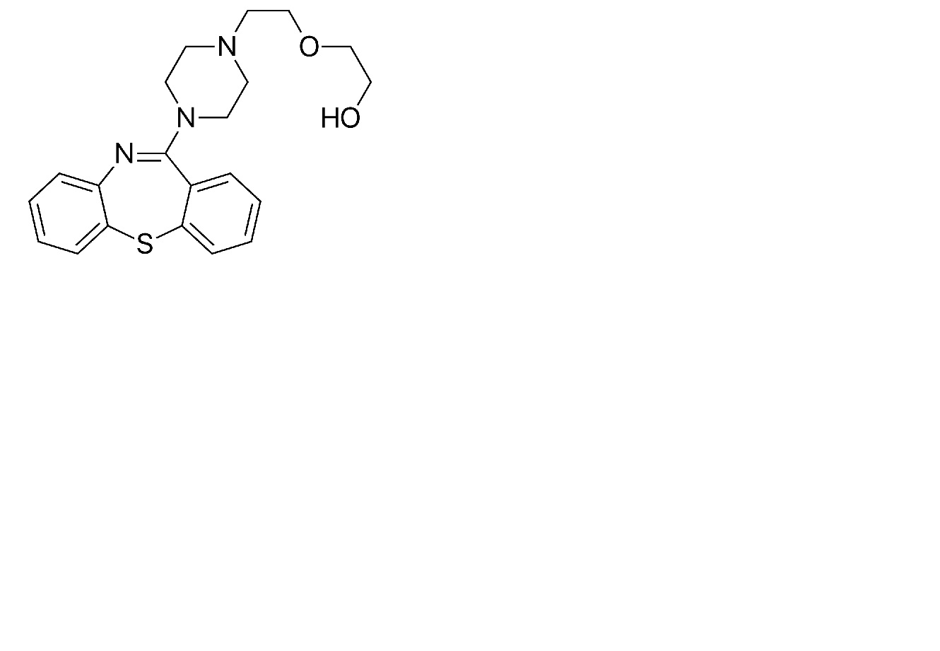
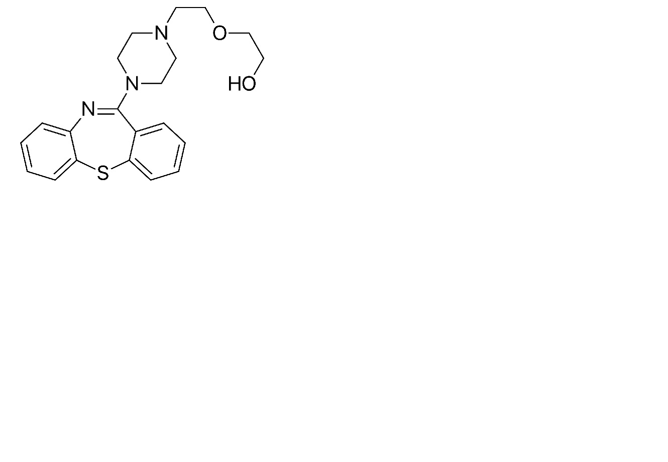
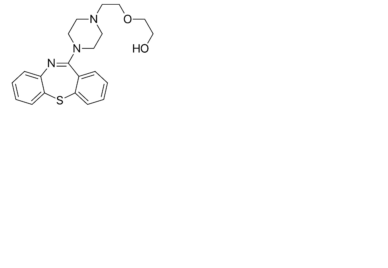
Dažādi   Quetiapine fumarate  
Orāls šķīdums
Stabilitāte farmaceitisko preparātu Maisījuma stabilitāte Stabilitāti ietekmējoši faktori Saderība Literatūras saraksts pdf
   Ķīmiskā uzbūve   

Orāls šķīdums
Stabilitāte farmaceitisko preparātu   Orāls šķīdums   Stabilitāte farmaceitisko preparātu : Quetiapine fumarate     
Iepakojums Origine Palīgviela Temperatūra Glabāšana Stabilitātes ilgums Literatūras saraksts
Plastmasas pudele Tabletes 400 mg
Alkem®
Orablend® >> 40 mL
22°C Aizsargāt no gaismas
60 Diena
4609

Plastmasas pudele Tabletes 400 mg
Alkem®
Orablend® >> 40 mL
2°C Aizsargāt no gaismas
60 Diena
4609


  Mentions Légales