Last update :
18/03/2026
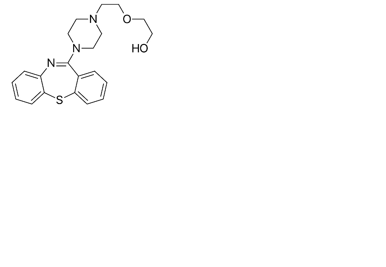
Various   Quetiapine fumarate  
Oral solution
Stability of pharmaceutical preparations Stability of mixtures Factors which affect stability Compatibility References pdf
   Chemical structure  

Oral solution
Stability of pharmaceutical preparations   Oral solution   Stability of pharmaceutical preparations : Quetiapine fumarate     
Container Origine excipient Temperature Storage Duration of stability References
plastic bottle tablets 400 mg
Alkem®
Orablend® >> 40 mL
22°C Protect from light
60 Day
4609

plastic bottle tablets 400 mg
Alkem®
Orablend® >> 40 mL
2°C Protect from light
60 Day
4609


  Mentions Légales