Останнє оновлення :
05/12/2025
Антибіотик   Co-trimoxazole  
Розчин для перорального застосування
ін'єкція
Стабільність фармацевтичних препаратів Стійкість сумішей Фактори, що впливають на стабільність Сумісність Список літератури pdf
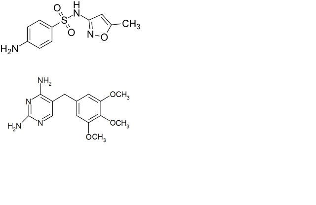
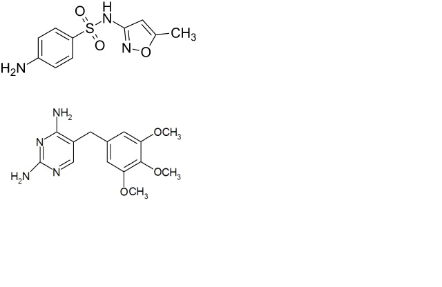
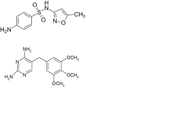
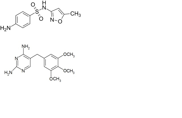
   Хімічна структура  

Розчин для перорального застосування
Стійкість сумішей   Розчин для перорального застосування   Стійкість сумішей : Co-trimoxazole     
7 / 5 000 Résultats de traduction Немає даних

  Mentions Légales