Viimeisin päivitys :
27/01/2026
Antibiootit   Co-trimoxazole  
Oraaliliuos
Injektioneste
Vakaus lääkevalmisteen Stabilius seoksissa Tekijät, jotka vaikuttavat stabiliuteen Yhteensopivuus Viitteet pdf
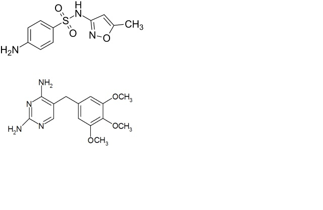
   Kemiallinen rakenne  

Oraaliliuos
Stabilius seoksissa   Oraaliliuos   Stabilius seoksissa : Co-trimoxazole     
ei tietoa

  Mentions Légales