Τελευταία ενημέρωση :
27/04/2026
Αντιβιοτικό   Co-trimoxazole  
Πόσιμο διάλυμα
Ενέσιμο
Σταθερότητα και συμβατότητα των φαρμάκων Σταθερότητα σε μίγματα Παράγοντας που επηρεάζει τη σταθερότητα Συμβατότητες Βιβλιογραφία pdf
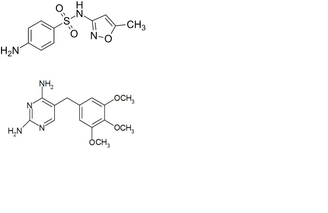
   χημική δομή  

Πόσιμο διάλυμα
Σταθερότητα σε μίγματα   Πόσιμο διάλυμα   Σταθερότητα σε μίγματα : Co-trimoxazole     
Δεν υπάρχουν πληροφορίες

  Mentions Légales