Siste oppdatering :
27/04/2026
Antibiotika   Co-trimoxazole  
Mikstur
Injeksjon
Stabilitet av farmasøytiske preparater Stabilitet i blandinger Faktorer som påvirker stabiliteten Kompatibilitet Referanser pdf
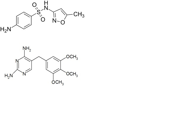
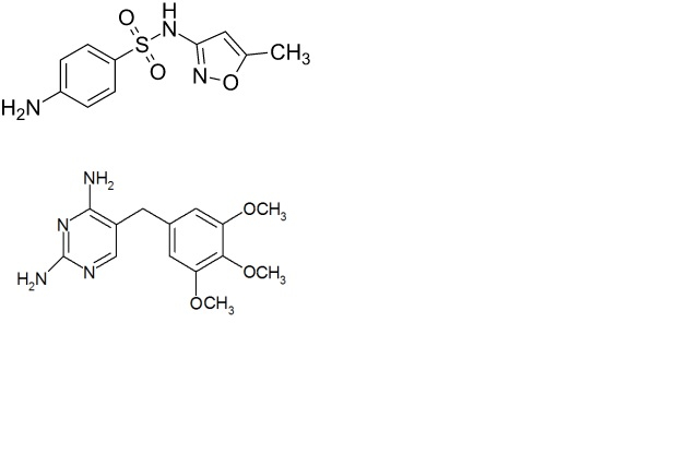
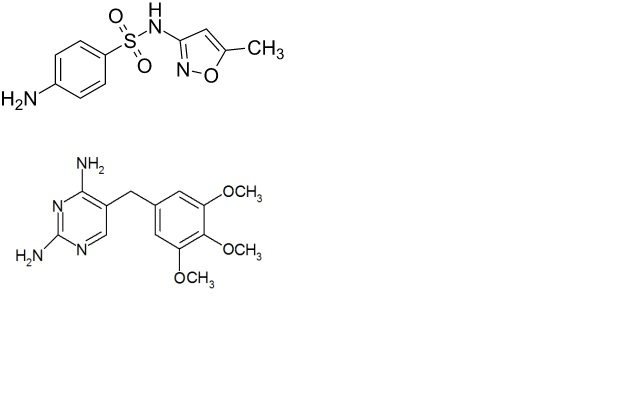
   Kjemisk struktur  

Mikstur
Stabilitet i blandinger   Mikstur   Stabilitet i blandinger : Co-trimoxazole     
Ingen opplysninger

  Mentions Légales