Senaste uppdateringen :
27/01/2026
Antibiotikum   Co-trimoxazole  
Oral lösning
injektion
Stabilitet av läkemedel Stabilitet i blandningar Faktorer som påverkar stabiliteten Kompatibilitet Hänvisningar pdf
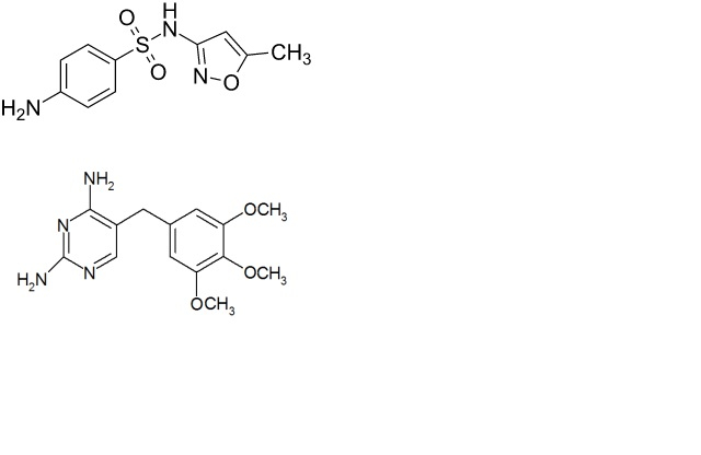
   Molekylstruktur  

Oral lösning
Stabilitet i blandningar   Oral lösning   Stabilitet i blandningar : Co-trimoxazole     
Ingen uppgift

  Mentions Légales