Последно актуализиране :
27/01/2026
Антибиотик   Co-trimoxazole  
Орален разтвор
Инжекция/Инжекционен
Стабилност на лекарствени препарати Стабилност на смеси Фактори, повлияващи стабилността Съвместимост Библиография Pdf
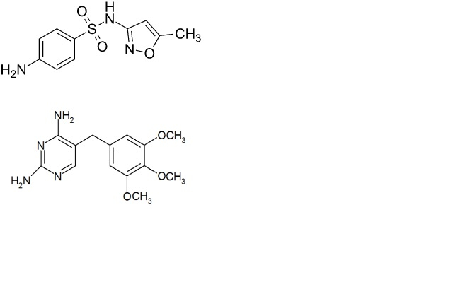
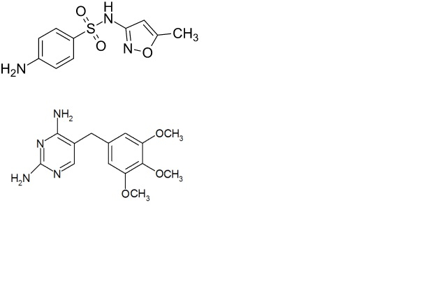
   Химична структура  

Орален разтвор
Стабилност на смеси   Орален разтвор   Стабилност на смеси : Co-trimoxazole     
Няма данни

  Mentions Légales