Zadnji put ažurirano :
27/01/2026
antibiotik   Co-trimoxazole  
oralna otopina
injekcija
Stabilnost farmaceutskih pripravaka Stabilnost mješavine Stabilizacijski faktor Kompatibilnosti Bibliografija pdf
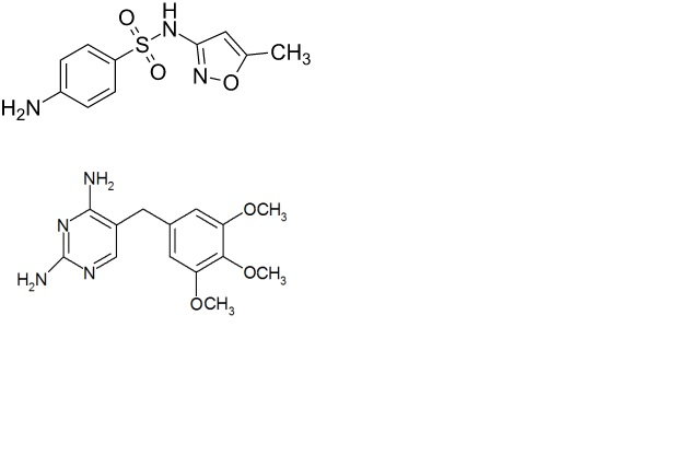
   Kemijska struktura  

oralna otopina
Stabilnost mješavine   oralna otopina     Stabilnost mješavine : Co-trimoxazole     
bez podataka

  Mentions Légales