Last update :
27/01/2026
Antibiotic   Co-trimoxazole  
Oral solution
injection
Stability of pharmaceutical preparations Stability of mixtures Factors which affect stability Compatibility References pdf
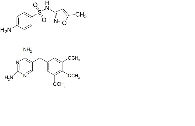
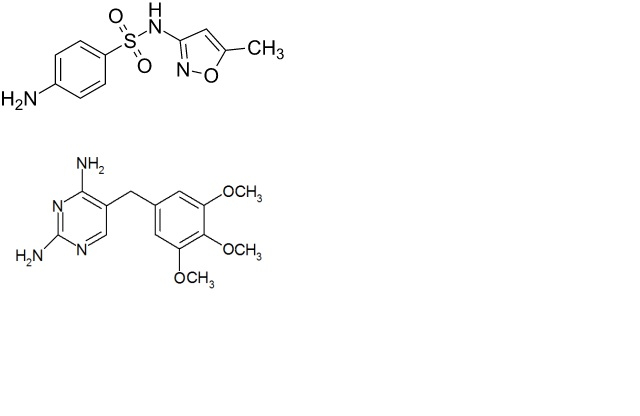
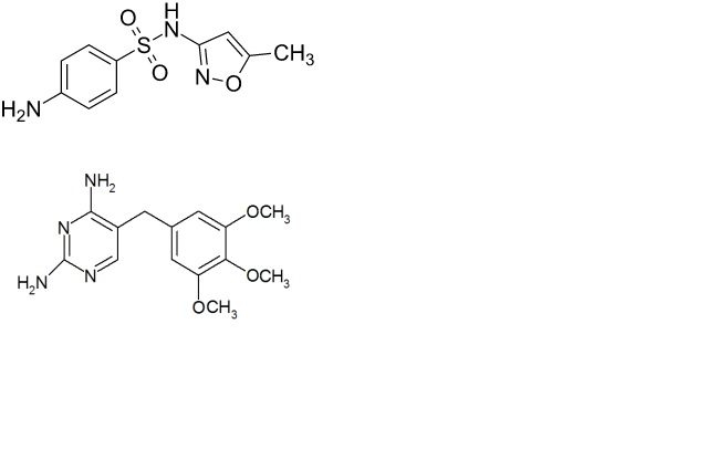
   Chemical structure  

Oral solution
Stability of mixtures   Oral solution   Stability of mixtures : Co-trimoxazole     
No data

  Mentions Légales