Останнє оновлення :
31/03/2026
Антибіотик   Co-trimoxazole  
Розчин для перорального застосування
ін'єкція
Стабільність фармацевтичних препаратів Стійкість сумішей Фактори, що впливають на стабільність Сумісність Список літератури pdf
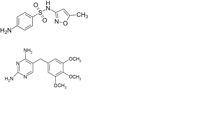
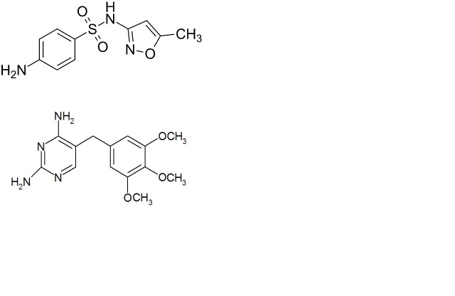
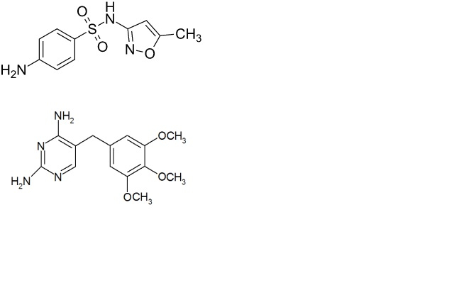
   Хімічна структура  

Розчин для перорального застосування
Сумісність   Розчин для перорального застосування   Сумісність : Co-trimoxazole              
7 / 5 000 Résultats de traduction Немає даних

  Mentions Légales