Posledná aktualizácia :
31/03/2026
antibiotikum   Co-trimoxazole  
Perorálny roztok
Injekcia
Stabilita farmaceutických prípravkov Stabilita v zmesiach Faktory ovplyvňujúce stabilitu Kompatibility Odkazy na literatúru PDF
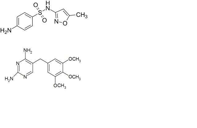
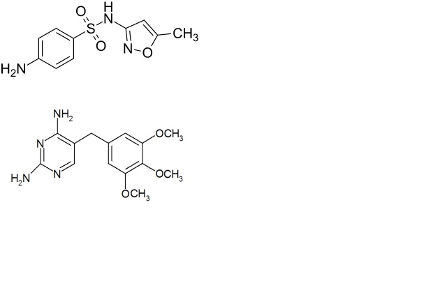
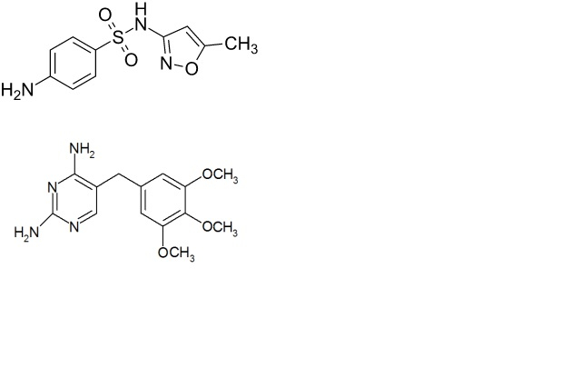
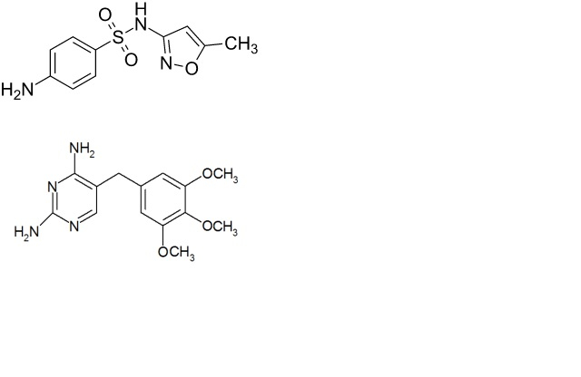
   Chemický vzorec  

Perorálny roztok
Kompatibility   Perorálny roztok   Kompatibility : Co-trimoxazole              
žiadne údaje

  Mentions Légales