Last update :
31/03/2026
Antibiotic   Co-trimoxazole  
Oral solution
injection
Stability of pharmaceutical preparations Stability of mixtures Factors which affect stability Compatibility References pdf
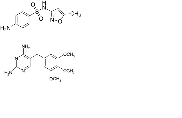
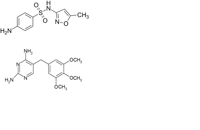
   Chemical structure  

Oral solution
Compatibility   Oral solution   Compatibility : Co-trimoxazole              
No data

  Mentions Légales