Ultimo aggiornamento :
31/03/2026
Antibiotico   Co-trimoxazole  
Soluzione orale
Iniezione
Stabilità dei preparati farmaceutici Stabilità in miscela Fattori che influenzano la stabilità Compatibilità Bibliografia pdf
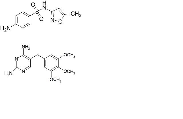
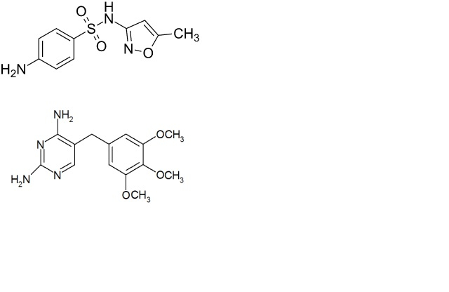
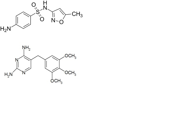
   Struttura chimica  

Soluzione orale
Compatibilità   Soluzione orale   Compatibilità : Co-trimoxazole              
Assenza di dati

  Mentions Légales