Poslední aktualizace :
31/03/2026
Antibiotikum   Co-trimoxazole  
Perorální roztok
injekce
Stabilita farmaceutických přípravků Stabilita směsí Faktory ovlivňující stabilitu Kompatibilita Odkazy pdf
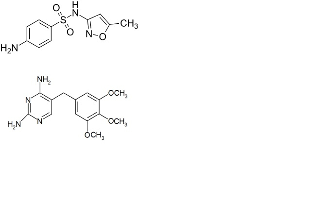
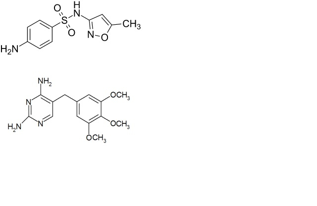
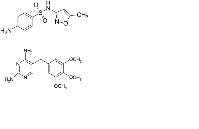
   Chemický vzorec  

Perorální roztok
Kompatibilita   Perorální roztok   Kompatibilita : Co-trimoxazole              
žádná data

  Mentions Légales