Siste oppdatering :
31/03/2026
Antibiotika   Co-trimoxazole  
Mikstur
Injeksjon
Stabilitet av farmasøytiske preparater Stabilitet i blandinger Faktorer som påvirker stabiliteten Kompatibilitet Referanser pdf
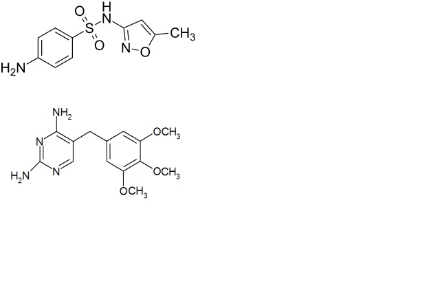
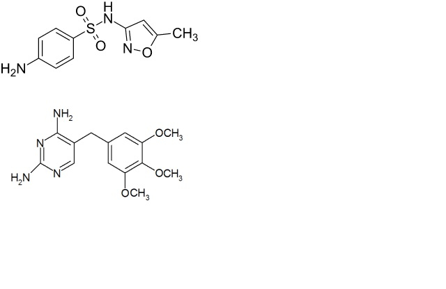
   Kjemisk struktur  

Mikstur
Kompatibilitet   Mikstur   Kompatibilitet : Co-trimoxazole              
Ingen opplysninger

  Mentions Légales